8-K
false 0001655210 0001655210 2025-09-29 2025-09-29
 
 

UNITED STATES

SECURITIES AND EXCHANGE COMMISSION

Washington, D.C. 20549

 

 

FORM 8-K

 

 

CURRENT REPORT

PURSUANT TO SECTION 13 OR 15(d)

OF THE SECURITIES EXCHANGE ACT OF 1934

Date of Report (Date of Earliest Event Reported): September 29, 2025

 

 

BEYOND MEAT, INC.

(Exact name of registrant as specified in its charter)

 

 

 

Delaware   001-38879   26-4087597

(State or other jurisdiction

of incorporation)

 

(Commission

File Number)

 

(I.R.S. Employer

Identification Number)

888 N. Douglas Street, Suite 100

El Segundo, California 90245

(Address of principal executive offices, including zip code)

(866) 756-4112

(Registrant’s telephone number, including area code)

Not Applicable

(Former Name or Former Address, if Changed Since Last Report)

 

 

Check the appropriate box below if the Form 8-K filing is intended to simultaneously satisfy the filing obligation of the registrant under any of the following provisions:

 

 

Written communications pursuant to Rule 425 under the Securities Act (17 CFR 230.425)

 

 

Soliciting material pursuant to Rule 14a-12 under the Exchange Act (17 CFR 240.14a-12)

 

 

Pre-commencement communications pursuant to Rule 14d-2(b) under the Exchange Act (17 CFR 240.14d-2(b))

 

 

Pre-commencement communications pursuant to Rule 13-4(c) under the Exchange Act (17 CFR 240.13e-4(c))

Securities registered pursuant to Section 12(b) of the Act:

 

Title of each class

 

Trading
Symbol(s)

 

Name of each exchange
on which registered

Common Stock, $0.0001 par value   BYND   The Nasdaq Stock Market LLC

Indicate by check mark whether the registrant is an emerging growth company as defined in Rule 405 of the Securities Act of 1933 (§ 230.405 of this chapter) or Rule 12b-2 of the Securities Exchange Act of 1934 (§ 240.12b-2 of this chapter).

Emerging growth company 

If an emerging growth company, indicate by check mark if the registrant has elected not to use the extended transition period for complying with any new or revised financial accounting standards provided pursuant to Section 13(a) of the Exchange Act. ☐

 

 
 


Explanatory Note

Exchange Offer and Consent Solicitation

On September 29, 2025, Beyond Meat, Inc. (the “Company”) commenced an exchange offer (the “Exchange Offer”) to exchange any and all of its 0% Convertible Senior Notes due 2027 (the “Existing Convertible Notes”) issued pursuant to the indenture governing such notes (the “Existing Convertible Notes Indenture”) dated as of March 5, 2021, for a pro rata portion of (i) up to $202.5 million in aggregate principal amount of its new 7.00% Convertible Senior Secured Second Lien PIK Toggle Notes due 2030 (the “New Convertible Notes”) and (ii) up to 326,190,370 shares of its common stock. Simultaneously with the Exchange Offer, the Company is soliciting consents (the “Consent Solicitation”) from holders of the Existing Convertible Notes to adopt certain proposed amendments (the “Proposed Amendments”) to the Existing Convertible Notes Indenture. The Proposed Amendments would eliminate substantially all of the restrictive covenants in the Existing Convertible Notes Indenture as well as certain events of default and related provisions applicable to the Existing Convertible Notes.

Pursuant to the terms of the Exchange Offer, if, at or prior to 5:00 p.m., New York City time, on October 10, 2025 (such time and date, as the same may be extended, the “Early Tender Date”), all conditions to the Exchange Offer and Consent Solicitation have been or are concurrently satisfied or waived, the Company may, subject to the terms of the Transaction Support Agreement (as defined below), accept for exchange (the “Early Settlement”) any Existing Convertible Notes validly tendered (and not validly withdrawn) at or prior to the Early Tender Date. The exchange for such Existing Convertible Notes would be made on the second business day following the Early Tender Date (the “Early Settlement Date”), which is currently expected to occur as early as October 15, 2025. Whether or not the Early Settlement occurs, if all conditions to the Exchange Offer and Consent Solicitation have been satisfied or waived at 5:00 p.m., New York City time, on October 28, 2025 (such time and date, as the same may be extended, the “Expiration Deadline”), unless extended, the Company will consummate the exchange of any Existing Convertible Notes that are validly tendered (and not validly withdrawn) at or prior to the Expiration Deadline on the second business day immediately following the Expiration Deadline (the “Final Settlement Date”), which is currently expected to occur on October 30, 2025. It is a condition to the Exchange Offer that a minimum of 85% of the aggregate principal amount of Existing Convertible Notes shall have been validly tendered (and, if applicable, not validly withdrawn). The Company’s ability to amend, extend, terminate, or waive the conditions of the Exchange Offer are subject to the terms of the Transaction Support Agreement.

Upon the terms and subject to the conditions of the Exchange Offer and Consent Solicitation, eligible holders of Existing Convertible Notes who validly tender (and do not validly withdraw) their Existing Convertible Notes and deliver their related consents at or prior to the Early Tender Date will be eligible to receive for each $1,000 in aggregate principal amount of Existing Convertible Notes validly tendered for exchange, $176.0870 in aggregate principal amount of New Convertible Notes and 283.6438 shares of common stock. Eligible holders who validly tender Existing Convertible Notes after the Early Tender Date but at or prior to the Expiration Deadline, and whose Existing Convertible Notes are accepted for exchange by the Company, will receive for each $1,000 in aggregate principal amount of Existing Convertible Notes validly tendered for exchange, $170.8044 in aggregate principal amount of New Convertible Notes and 283.6438 shares of common stock.

If the Exchange Offer is consummated, the New Convertible Notes issued in the exchange will be secured, second lien obligations of the Company. The New Convertible Notes will mature on the date that is the fifth anniversary of the initial settlement date of such New Convertible Notes, unless earlier redeemed, converted, equitized or repurchased in accordance with the terms of the New Convertible Notes. The New Convertible Notes will bear interest at a rate of 7.00% per annum from the initial settlement date of such New Convertible Notes, which interest may be paid in cash or, subject to certain limitations, in shares of common stock. At the option of the Company, interest on the New Convertible Notes may be accrued and compounded in whole or in part for any interest period as “payment-in-kind” interest at a rate of 9.50% per annum from the initial settlement date of such New Convertible Notes. Initially, the New Convertible Notes will not be guaranteed; however, the Company will agree to cause its future wholly-owned subsidiaries, subject to certain customary exceptions, to guarantee the New Convertible Notes, and will also agree to take commercially reasonable efforts, including seeking advice and consultation procedures with the works council, to cause its subsidiary, Beyond Meat EU B.V., a private company with limited liability (besloten vennootschap met beperkte aansprakelijkheid) incorporated under the laws of the Netherlands (the “Dutch Entity”), to guarantee the New Convertible Notes following the closing of the Exchange Offer.


The conversion rate for the New Convertible Notes will initially be a number of shares of common stock per $1,000 principal amount of New Convertible Notes equal to the lesser of (i) 1,029.2716 and (ii) an amount calculated based on a 10% premium to a reference price determined over an observation period consisting of 20 consecutive trading days immediately following the initial settlement date of any New Convertible Notes, with such conversion rate subject to customary adjustments. The conversion rate will be increased for conversions occurring prior to the date that is three years from the initial settlement date of any New Convertible Notes to reflect a “make-whole” premium, payable in the form of shares of common stock, to compensate holders for interest that would have been payable to such date.

Prior to obtaining stockholder approval of certain proposals as described in more detail under “—Stockholder Proposals” below that will allow the issuance of common stock pursuant to the terms of the New Convertible Notes, the Company will be permitted to satisfy its obligations upon conversion of the New Convertible Notes only in the form of cash settlement. Following such stockholder approval, the Company will be permitted to satisfy its obligations under the New Convertible Notes with any settlement method it is otherwise permitted to elect, including by physical settlement of shares of common stock. A holder of New Convertible Notes will not be permitted to convert its New Convertible Notes at any time prior to the earlier of, (a) the date of the first special meeting at which the Company seeks stockholder approval of such proposals, whether or not such approvals are obtained and (b) the date that is 61 calendar days following the initial settlement date of the New Convertible Notes. The New Convertible Notes will be convertible at any time following such date and prior to the close of business on the second trading day immediately preceding the maturity date.

The indenture that will govern the New Convertible Notes (the “New Convertible Notes Indenture”) will include incurrence based negative covenants, including but not limited to, limitations on debt, limitations on liens, limitations on investments, limitations on mergers, consolidations, and sales of all or substantially all assets, limitations on transactions with affiliates, limitations on restricted payments, limitations on asset sales, limitations on dividends and other payment restrictions affecting any direct or indirect subsidiaries, limitations on future guarantees by subsidiaries without such subsidiaries also guaranteeing the New Convertible Notes, limitations on disposals of assets, limitations on impairment of security, a negative pledge on the assets of the Dutch Entity if it does not guarantee the New Convertible Notes and restrictions on certain liability management priming transactions with respect to the New Convertible Notes. The New Convertible Notes Indenture will also include a covenant requiring minimum liquidity of $15.0 million, to be tested quarterly, a requirement that the Company will not permit more than $60.0 million in aggregate principal amount of the Existing Convertible Notes to remain outstanding as of or following the date that is 90 days prior to the maturity of the Existing Convertible Notes, a covenant that limits the Company’s ability to repurchase, redeem, retire, exchange or otherwise acquire the Existing Convertible Notes other than pursuant to the prices and other conditions to be set forth in the New Convertible Notes Indenture and a cap of $60.0 million on the amount of cash that can be used to repay the Existing Convertible Notes at the maturity of such notes, subject to increase to the extent of any equity raises by the Company.

Under certain circumstances and subject to conditions set forth in the New Convertible Notes Indenture, the Company may elect to redeem, equitize or force a mandatory conversion of the New Convertible Notes.

If certain corporate events constituting a make-whole fundamental change occur (which shall include, among other things, the acquisition by any person or group of more than 50% of the outstanding common stock of the Company or a delisting of the Company’s common stock), the Company shall offer to repurchase all of the outstanding New Convertible Notes for cash at a repurchase price equal to 100% of the aggregate principal amount of the New Convertible Notes then outstanding plus accrued and unpaid interest. If a fundamental change occurs, then the Company will in certain circumstances increase the conversion rate for the New Convertible Notes for a specified period of time on the terms set forth in the New Convertible Notes Indenture.

In connection with the issuance of the New Convertible Notes and the entry into the New Convertible Notes Indenture, the Company will enter into the Intercreditor Agreement among Unprocessed Foods, the lender under our Loan and Security Agreement, dated as of May 7, 2025 (the “Loan Agreement”), as the first lien representative and the first lien collateral agent for the first lien claimholders, each additional second lien representative and additional second lien collateral agent that from time to time becomes a party thereto, the Company and the other grantors referred to therein from time to time (the “Intercreditor Agreement”), providing for the relative priorities of the security interests in the assets securing the New Convertible Notes, the loans pursuant to the Loan Agreement and certain of the Company’s additional debt, and certain other matters relating to the administration of security interests. The terms of the Intercreditor Agreement will expressly subordinate the New Convertible Notes in right of payment and in liens to the obligations pursuant to the Loan Agreement.

Estimated fees and expenses of approximately $39 million are expected to be paid in connection with the Exchange Offer and Consent Solicitation, assuming 100% participation in the Exchange Offer, of which approximately $5 million had been paid as of June 28, 2025.


The New Convertible Notes and shares of common stock offered in the Exchange Offer, and the Underlying Shares (as defined below) have not been, and will not be, registered under the Securities Act of 1933, as amended (the “Securities Act”), or any other securities laws. This Current Report on Form 8-K shall not constitute an offer to sell, or the solicitation of an offer to buy, the New Convertible Notes and shares of common stock offered in the Exchange Offer, the Underlying Shares, the Existing Convertible Notes or any other securities, nor will there be any sale of such securities or any other securities, in any state or other jurisdiction in which such offer, sale or solicitation would be unlawful.

Irrevocable Election to Cash Settle Existing Convertible Notes

In March 2021, the Company issued an aggregate of $1,150,000,000 principal amount of 0% Convertible Senior Notes due 2027, which are referred to herein as the “Existing Convertible Notes.” The Existing Convertible Notes are convertible in certain circumstances into consideration that consists, at the Company’s election, of shares of its common stock, cash or a combination of cash and shares of its common stock. As permitted by the Existing Convertible Notes Indenture governing the Existing Convertible Notes, the Company has irrevocably elected that all future conversions of the Existing Convertible Notes will be settled pursuant to cash settlement. Generally, under this settlement method, the conversion value will be settled fully in cash.


Stockholder Proposals

In connection with the transactions contemplated by the Exchange Offer and the Transaction Support Agreement, the Company will file a preliminary proxy statement with the Securities and Exchange Commission (the “SEC”) for the purposes of soliciting the affirmative vote of its stockholders at a special meeting of stockholders of the Company (the “Special Meeting”) with respect to the following proposals (the “Stockholder Proposals”):

 

   

To approve, in accordance with Nasdaq Listing Rule 5635(d), the potential issuance of Underlying Shares upon conversion or equitization of up to $215.0 million in aggregate principal amount of the New Convertible Notes (including any New Convertible Notes issued as “payment-in-kind” interest), or payment of accrued interest or make-whole payments in the form of common stock, which issuances would, in the aggregate, exceed 20% of the number of shares of common stock issued and outstanding immediately prior to the time of commencement of the Exchange Offer;


   

To approve the Restated Plan (as defined below) to increase the number of shares of common stock authorized for issuance thereunder, including for purposes of the issuance of certain awards granted to key employees of the Company out of such increase;

 

   

To approve an amendment to the Company’s Restated Certificate of Incorporation to increase the number of authorized shares of the Company’s common stock from 500,000,000 to 3,000,000,000, in order to support, among other things, the additional share issuances of common stock issuable upon conversion of the New Convertible Notes and under the Restated Plan;

 

   

To approve a series of 30 alternate amendments to the Company’s Restated Certificate of Incorporation to effect (i) a reverse stock split of the Company’s issued and outstanding shares of common stock and (ii) a proportionate reduction in the number of authorized shares of common stock (and correspondingly decrease the total number of authorized shares of the Company’s capital stock); and

 

   

To approve of one or more adjournments of the Special Meeting, if necessary, to solicit additional proxies if there are not sufficient votes to approve the foregoing proposals at the Special Meeting or any adjournment(s) thereof.

The record date for the Special Meeting is expected to be the date following the initial settlement of the New Convertible Notes and shares of common stock in the Exchange Offer and the Special Meeting is expected to be held following the closing of the Exchange Offer.


Item 1.01

Entry into a Material Definitive Agreement.

Transaction Support Agreement

On September 29, 2025, the Company entered into a transaction support agreement (the “Transaction Support Agreement”) with certain beneficial owners or nominees, investment managers or advisors for beneficial holders of the Existing Convertible Notes who hold approximately 47% of the aggregate principal amount of the Existing Convertible Notes (the “Supporting Noteholders”).

Pursuant to the Transaction Support Agreement, the Supporting Noteholders have agreed, among other things, to tender all of their Existing Convertible Notes in the Exchange Offer prior to the Early Tender Date and to consent to the Proposed Amendments on or before the Early Tender Date. The Company also agreed in the Transaction Support Agreement to pay or cause to be paid to the Supporting Noteholders, in proportion to the principal amount of Existing Convertible Notes held by each such Supporting Noteholder, a non-refundable amount at the initial settlement date of the New Convertible Notes equal to $12.5 million in the form of New Convertible Notes (the “SteerCo Premium”).

The Transaction Support Agreement contains customary representations and warranties by the Supporting Noteholders as of the date of the Transaction Support Agreement. Additionally, the Supporting Noteholders have agreed in the Transaction Support Agreement to (among other customary covenants):

 

   

negotiate in good faith and execute, implement, deliver and perform their obligations under the definitive documents that will govern the transactions contemplated by the Exchange Offer and the Transaction Support Agreement;

 

   

support and take all commercially reasonable actions necessary to facilitate, and not to otherwise impede, the implementation and consummation of the transactions contemplated by the Exchange Offer and the Transaction Support Agreement, including tendering their Existing Convertible Notes and submitting consents with respect thereto no later than the 9th business day from the date of the Transaction Support Agreement and not withdrawing such tender (or consent) thereafter other than in accordance with the Transaction Support Agreement and the procedures set forth in the offering memorandum relating to the Exchange Offer;

 

   

not participate in certain alternative transactions; and

 

   

subject to certain exceptions, not to, directly or indirectly, transfer their Existing Convertible Notes to any person that is not a Supporting Noteholder.

In addition, the Company has agreed in the Transaction Support Agreement (among other customary covenants), subject to its ability to take certain actions (or refraining from taking certain actions) that the Board determines in good faith is reasonably required to comply with its fiduciary duties (the “Fiduciary Out”), to:

 

   

negotiate in good faith and execute, implement, deliver and perform its obligations under the definitive documents that will govern the transactions contemplated by the Exchange Offer and the Transaction Support Agreement;

 

   

support and take all actions necessary to facilitate the implementation and consummation of the transactions contemplated by the Exchange Offer and the Transaction Support Agreement, including conducting the Exchange Offer, completing such transactions and using commercially reasonable efforts to obtain any and all required governmental, regulatory and third-party approvals;

 

   

not pursue certain alternative transactions;


   

pay the fees and expenses of the advisors to the Supporting Noteholders;

 

   

use commercially reasonable efforts to preserve intact its business organizations and relationships with third parties; and

 

   

use commercially reasonable efforts to maintain in effect all of its foreign federal, state, and local licenses, permits, consents, franchises, approvals, and authorizations.

Certain extensions of deadlines and waivers of conditions to the Exchange Offer will require the consent of the Required Supporting Noteholders (as defined below), subject to certain exceptions.

The Transaction Support Agreement also contemplates in connection with the Exchange Offer that the Company will take all necessary action to cause each of Alexandre Zyngier and Raphael (“Ray”) Thomas Wallander to be appointed as a Class I director (with a term expiring in 2026) as well as to the audit committee and as a Class III director (with a term expiring in 2028) as well as to the human capital management and compensation committee, respectively. The Company will also cause one of Messrs. Zyngier and Wallander to be appointed to each of the then-existing special committee or committees of the board of directors, if any, other than any committee that the board of directors has resolved in advance to dissolve and actually is dissolved upon the completion of the Exchange Offer. Such obligations are referred to collectively herein as the “Board Appointments”. The Board Appointments are described in more detail below in Item 5.02.

Effective from and after the initial settlement date of the New Convertible Notes and shares of common stock in the Exchange Offer, the Supporting Noteholders, on the one hand, and the Company on the other hand, on behalf of their respective heirs, legal representatives, predecessors, successors and assigns, will provide mutual waivers and releases of claims to the fullest extent permitted under applicable law, from any and all causes of action and any other claims and other remedies in connection with the transactions contemplated by the Exchange Offer and the Transaction Support Agreement, and agree not to bring any cause of action or other claim or proceeding against the other parties, subject in each case to certain exclusions.

The obligations of the parties in connection with the Transaction Support Agreement are subject to satisfaction of the following conditions, in addition to other customary conditions:

 

   

each of the definitive documents that will govern the transactions contemplated by the Exchange Offer and the Transaction Support Agreement shall have been duly executed and delivered by each party thereto, in form and substance consistent with the Transaction Support Agreement;

 

   

the Transaction Support Agreement shall not have been terminated pursuant to the terms thereof;

 

   

the Company shall have taken, or shall take simultaneously as of the initial settlement of the New Convertible Notes and shares of common stock in the Exchange Offer, all necessary action to cause the Board Appointments;

 

   

no court of competent jurisdiction or other governmental or regulatory authority shall have issued any order restricting, preventing or prohibiting the consummation of the transactions contemplated by the Exchange Offer and the Transaction Support Agreement;

 

   

the New Convertible Notes representing the SteerCo Premium have been issued by the Company to the Supporting Noteholders;

 

   

fees and expenses of the advisors to the Supporting Noteholders shall have been paid;

 

   

the representations and warranties of the parties contained in the Transaction Support Agreement shall be true and correct in all material respects at and as of the date of the Transaction Support Agreement and as of the initial settlement date of the New Convertible Notes and shares of common stock in the Exchange Offer; and

 

   

holders of at least 85% of the aggregate principal amount of the Existing Convertible Notes (the “Minimum Participation”) shall have exchanged their Existing Convertible Notes in the Exchange Offer; provided, that, the Minimum Participation may be waived only by the mutual written consent of the Company and the Supporting Noteholders representing a majority of the Existing Convertible Notes held by Supporting Noteholders (the “Required Supporting Noteholders”).


The Transaction Support Agreement may be terminated by the Company upon the occurrence of any of the following events:

 

   

a Supporting Noteholder has breached, in any material respect, any of its representations, warranties, covenants or other obligations contained therein, and such breach remains uncured for five business days after written notice thereof by the Company; provided that such termination shall only be effective as against the breaching Supporting Noteholder;

 

   

the Company exercises the Fiduciary Out; or

 

   

at any time, the Supporting Noteholders who are parties to the Transaction Support Agreement do not hold at least 46% of the aggregate principal amount outstanding of the Existing Convertible Notes and such condition remains uncured for three business days (or, in certain cases, five business days) after written notice thereof by the Company.

The Transaction Support Agreement may be terminated by any Supporting Noteholder upon the occurrence of any of the following events:

 

   

the Company has breached, in any material respect, any of its representations, warranties, covenants or other obligations contained therein, and such breach remains uncured for five business days after written notice thereof by such Supporting Noteholder;

 

   

on the date of the Transaction Support Agreement, if the Company has not filed a preliminary proxy statement for a Special Meeting in connection with the Stockholder Proposals and set a record date that is no later than the third business day following the anticipated date of the Early Settlement;

 

   

the initial settlement date of the New Convertible Notes and shares of common stock in the Exchange Offer has not been achieved, extended or waived by November 14, 2025;

 

   

the Company publicly announces its intention not to support the transactions contemplated by the Exchange Offer and the Transaction Support Agreement or files, publicly announces or executes a definitive written agreement with respect to certain alternative transactions;

 

   

if, without the prior consent of the Required Supporting Noteholders, the Company voluntarily commences any case or files any petition seeking bankruptcy, winding up, dissolution, reorganization or other relief under any bankruptcy protection or similar law, consents to the institution of or fails to contest any involuntary proceeding, makes any general assignment or arrangement for the benefit of creditors, or takes any corporate action for the purposes of authorizing any of the foregoing;

 

   

the Company exercises the Fiduciary Out; or

 

   

any definitive document governing the transactions contemplated by the Exchange Offer and the Transaction Support Agreement does not comply in all material respects with the Transaction Support Agreement.

The Transaction Support Agreement may also be terminated by mutual agreement of the Company and the Required Supporting Noteholders upon the receipt of written notice delivered in accordance with the Transaction Support Agreement. The Transaction Support Agreement will also terminate automatically upon the occurrence of the initial settlement of New Convertible Notes and shares of common stock in the Exchange Offer.

The foregoing description of the Transaction Support Agreement does not purport to be complete and is qualified in its entirety by reference to the Transaction Support Agreement, a copy of which is attached hereto as Exhibit 10.1 and incorporated by reference herein.

Voting Agreements

On September 29, 2025, each of the Supporting Noteholders individually entered into a voting agreement with the Company whereby such Supporting Noteholder agreed with the Company that it will appear at the Special Meeting and every stockholder meeting thereafter until the earlier of (i) the termination, withdrawal and abandonment by the Company of the Exchange Offer prior to the initial settlement date of the New Convertible Notes and shares of common stock in the Exchange Offer, (ii) the date following the date of the Company’s annual meeting in 2026, (iii) the date the Stockholder Proposals are approved and (iv) June 19, 2026, or otherwise cause the shares of common stock it beneficially owns to be counted as present thereat for purposes of determining a quorum, and be present (in person or by proxy, which includes by remote communication) and vote (or cause to be voted) all of its shares of common stock it beneficially owns in favor of the Stockholder Proposals.

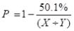
In addition, each Supporting Noteholder has agreed that it shall not, from and after the initial settlement date of the New Convertible Notes and shares of common stock in the Exchange Offer and until 5:00 p.m., New York City time on the date that is the earlier of (i) the record date of the first Special Meeting proposed to be held following the consummation of the Exchange Offer and (ii) the date that is three (3) business days following the initial settlement date of the New Convertible Notes and shares of common stock in the Exchange Offer, (A) transfer, sell, exchange, assign or convey any legal or beneficial ownership interest in, or any right, title or interest therein (including any right or power to vote), or otherwise dispose of (whether by sale, liquidation, dissolution, dividend, distribution or otherwise) any shares of common stock issued in the Exchange Offer, or enter into any contract, option, or other agreement with respect to any of the foregoing; provided, the lock-up will provide that an exchanging holder of the Existing Convertible Notes may sell its pro rata portion of the amount of shares of common stock it receives in the Exchange Offer that represents the amount by which the shares of common stock issued at the initial settlement date of the Exchange Offer that are subject to voting agreements at such time (whether entered into with the Company directly or pursuant to the terms of the Exchange Offer) exceed 50.1% of the shares of common stock outstanding on the initial settlement date of the New Convertible Notes and shares of common stock in the Exchange Offer.

The Company also agreed in the voting agreements (i) not to effectuate a reverse stock split for a period ending the date that is 120 days from the initial settlement date of any New Convertible Notes (the “Early Release Date”) and (ii) not to effectuate a reverse stock split during the period beginning on the Early Release Date and ending the date that is 180 days after the initial settlement date of the New Convertible Notes (the “Final Release Date”) unless (A) we have received a notice from The Nasdaq Stock Market LLC (“Nasdaq”) of failure to meet the continued listing requirement for minimum bid price at any time prior to such Reverse Stock Split and have not subsequently cured such deficiency to Nasdaq’s satisfaction or (B) our Common Stock fails to meet the minimum bid price of at least $1.00 per share on the Nasdaq Global Select Market for any fifteen (15) consecutive business days in the period commencing fifteen (15) business days prior to the Early Release Date and ending on the Final Release Date. The foregoing description of the Voting Agreements does not purport to be complete and is qualified in its entirety by reference to the form of Voting Agreement, a copy of which is attached hereto as Exhibit 10.2 and incorporated by reference herein.

Pursuant to the terms of the Exchange Offer, holders of the Existing Convertible Notes that exchange their Existing Convertible Notes in the Exchange Offer will agree to voting and lock-up provisions on substantially the same terms as the voting agreements entered into by the Supporting Noteholders.


Item 5.02

Departure of Directors or Certain Officers; Election of Directors; Appointment of Certain Officers; Compensatory Arrangements of Certain Officers.

Director Appointments

In connection with the Exchange Offer and pursuant to the Transaction Support Agreement, Ethan Brown and Nandita Bakhshi, who currently serve as Class III and Class II directors, respectively, will transition off of the Board, effective as of the initial settlement of New Convertible Notes and shares of common stock in the Exchange Offer. Mr. Brown will nonetheless continue to participate in meetings of the Board in his capacity as President and Chief Executive Officer of the Company. To facilitate the Board Appointments, C. James Koch, who currently serves as a Class I director, will also resign from the Board simultaneously and will be re-appointed as a Class II director as described below. Further, as a result of Ms. Bakhshi’s resignation, Joshua M. Murray, will be appointed to the nominating and corporate governance committee and appointed as the chair thereof.

Immediately following these resignations, the Company has agreed to take all necessary action to cause each of Mr. Zyngier, Mr. Koch and
Mr. Wallander to be appointed as Class I (with a term expiring in 2026), Class II (with a term expiring in 2027), and Class III (with a term expiring in 2028) directors, respectively, and to cause Mr. Zyngier to serve on the audit committee and Mr. Wallander to serve on the human capital management and compensation committee. As and when the Board Appointments are effectuated, the Company will file an amendment to this Current Report on Form 8-K announcing such appointments and any additional information not yet provided but required by Item 5.02 of Form 8-K.

Biographies for the new directors to be appointed pursuant to the Transaction Support Agreement, and their ages, are as follows:

Alexandre Zyngier, age 56

Mr. Zyngier has served as the Managing Director and Founder of Batuta Capital Advisors LLC, a private investment and advisory firm, since 2013. He also serves on the board of directors of Lazydays Inc., a company that operates RV dealerships since July 2025, Urgently Inc., a leading roadside and mobility assistance company since January 2025, Unifin Financiera SAB de CV, a Mexican finance company, since August 2024, Slam Corp., a public special purpose acquisition company, since February 2023, COFINA Puerto Rico, the taxing authority of Puerto Rico, since February 2019, Atari SA, a video game company, since August 2014 and certain other private entities. Mr. Zyngier previously served on the Board of Directors of companies that include Appvion Holding Corp, a paper and packaging company, from February 2019 to December 2021, GT Advanced Technologies Inc., an advanced materials company, from March 2016 to November 2021, Torchlight Energy Resources Inc., an exploration and production company, from June 2016 to June 2021, Eileen Fisher Inc., a retail company, from November 2020 to May 2021, AudioEye, Inc, a software company, from September 2015 to July 2020, LootCrate Inc., a retail company, from December 2017 to October 2019 and certain other public and private companies. Mr. Zyngier holds an MBA in Finance and Accounting from the University of Chicago and his BSc in Chemical Engineering from the University of Campinas (Unicamp).

Raphael (“Ray”) Thomas Wallander, age 52

Mr. Wallander has served as the Owner, Chairman, and Chief Executive Officer of Maxwell Bay Advisors, LLC, a platform created for independent director services and consulting, since 2018. Through Maxwell Bay Advisors, Mr. Wallander has served on the board of Redwire Corporation since July 2025 and has previously served on the boards of Barnes and Noble Education, Inc. (NYSE:BNED) and F45, as well as several private companies. Since 2007, Mr. Wallander has held various roles with Wayzata Investment Partners, LLC, including Corporate Counsel, Principal, and General Counsel. Wayzata is an SEC-registered investment adviser, and prior to joining Wayzata, Mr. Wallander worked as an attorney in private practice. Mr. Wallander holds a Juris Doctorate and Bachelor of Arts from the University of Minnesota.

As discussed above, Mr. Zyngier is expected to be appointed to serve on the audit committee, and Mr. Wallander is expected to be appointed to serve on the human capital management and compensation committee of the Board. Mr. Koch is expected to continue to serve on the risk committee. Each will receive compensation for his service as a director in accordance with the Company’s compensation policy for non-employee directors, as described in the Company’s preliminary proxy statement for the Special Meeting filed with the SEC. Effective upon the Board Appointments, the Company will enter into an indemnification agreement with each of Mr. Zyngier and Mr. Wallander, the form of which is filed as Exhibit 10.4 to the Company’s Quarterly Report on Form 10-Q for the period ended March 29, 2025 filed with the SEC on May 8, 2025.


Other than the Transaction Support Agreement, there is no arrangement or understanding between Mr. Zyngier or Mr. Wallander and any other person pursuant to which either was selected as a director. There are also no transactions between the Company and either Mr. Zyngier or Mr. Wallander of the kind required to be reported under Item 404(a) of Regulation S-K.

Restated Equity Plan

In connection with the Exchange Offer and the entry into the Transaction Support Agreement, the board of directors of the Company (the “Board”), on September 28, 2025, approved an amendment and restatement (the “Restated Plan”) of the Company’s 2018 Equity Incentive Plan (the “Existing Plan”) to increase the number of shares of common stock authorized for issuance thereunder, including for purposes of the issuance of awards granted to key employees of the Company out of such increase, effective September 29, 2025 (the “Restated Plan Effective Date”), subject to the occurrence of the Final Settlement Date and stockholder approval of the Restated Plan. The Company is seeking stockholder approval of the Restated Plan, at a Special Meeting as described in more detail under “—Stockholder Proposals” above.

Pursuant to the Restated Plan, subject to the share counting provisions of the Restated Plan, the number of shares reserved for issuance is equal to the sum of the following:

 

   

The number of shares of common stock reserved for issuance under the Existing Plan (which, as of June 28, 2025, was 27,349,482 shares); plus

 

   

On the date following the Final Settlement Date, a number of shares of the Company’s common stock, representing 12.5% (rounded up to the nearest whole share) of the Fully-Diluted Shares Outstanding (as defined below) on the date following the Final Settlement Date (which number of shares of common stock is estimated to be approximately 62 million, assuming 100% participation in the Exchange Offer); plus

 

   

On any date following the Final Settlement Date on which shares of the Company’s common stock are issued in respect of the New Convertible Notes, including the conversion or equitization of the New Convertible Notes (including any New Convertible Notes issued as paid in kind interest) into shares of common stock, or payment of accrued interest or make-whole payments in the form of common stock, or otherwise (such shares of common stock, “Conversion Shares”), which shares are in excess of the sum of any Conversion Shares taken into account in a previous Anti-Dilution Increase (as defined below), an additional number of shares equal to 12.5% (rounded up to the nearest whole share) of the total number of additional Conversion Shares so issued. Each increase pursuant to this paragraph is referred to as an “Anti-Dilution Increase”; plus

 

   

An annual increase on January 1 of each calendar year during the term of the Restated Plan commencing January 1, 2027 and ending on and including January 1, 2035, equal to the lesser of (a) 3.0% of the Fully-Diluted Shares Outstanding on such date or (b) such number of shares of common stock determined by the administrator of the Restated Plan.

Under the Restated Plan, the term “Fully-Diluted Shares Outstanding” means, as of any date, the sum of:

 

   

The number of shares of the Company’s common stock outstanding on such date (calculated on an as-converted basis after giving effect to the occurrence of the Final Settlement Date, which includes the shares of common stock reserved for potential issuance under outstanding warrants and any shares of the Company’s common stock issued in the Exchange Offer but excluding the shares of common stock issuable in the future (but not yet issued) under the New Convertible Notes following such date); plus

 

   

The number of shares of the Company’s common stock subject to the equity awards (including stock options) outstanding under the Company’s equity plans on such date (with the number of shares subject to performance-based equity awards calculated at the “maximum” level of performance); plus

 

   

The number of shares of the Company’s common stock available for future issuance under the Company’s equity plans as of such date (for the avoidance of doubt, on the date following the Final Settlement Date, including the share reserve under the Restated Plan as of such date after giving effect to the Exchange Offer).

Additionally, on September 29, 2025, the Board granted restricted stock units (“RSUs”) and performance stock units (“PSUs”, and together with the RSUs, the “MIP Awards”) under the Restated Plan to certain key employees. The MIP Awards were granted, in part, out of the increase to the share reserve pursuant to the Restated Plan (over the existing share reserve under the Existing Plan as in effect immediately prior to the Restated Plan Effective Date), subject to the occurrence of the Final Settlement Date and subject, in part, to stockholder approval of the Restated Plan. Each MIP Award recipient received awards with respect to a number of shares of the Company’s common stock equal to a specified percentage of the Fully-Diluted Shares Outstanding on the date following the Final Settlement Date.

In the event the Final Settlement Date does not occur, the Restated Plan will cease to be effective and all of the MIP Awards will be forfeited. In the event stockholder approval of the Restated Plan does not occur, but the Final Settlement Date does occur, the Restated Plan will cease to be effective and the MIP Awards (other than the RSUs scheduled to vest on December 31, 2025) will be forfeited. If the Restated Plan is not approved by stockholders and/or the Final Settlement Date does not occur, the Existing Plan will continue in full force and effect as in effect prior to the Restated Plan Effective Date, and the Company may continue to grant awards under the Existing Plan, subject to its terms, conditions and limitations, using the shares available for issuance thereunder.

 

Item 7.01

Regulation FD Disclosure.

On September 29, 2025, the Company issued a press release announcing the commencement of the Exchange Offer and Consent Solicitation and entry into the Transaction Support Agreement. The full text of the press release is furnished herewith as Exhibit 99.1 and incorporated herein by reference.

In accordance with General Instruction B.2 of Form 8-K, the information contained or incorporated by reference in this Item 7.01, including the press release furnished herewith as Exhibit 99.1, shall not be deemed “filed” for the purposes of Section 18 of the Securities Exchange Act of 1934, as amended (the “Exchange Act”), or otherwise subject to the liabilities of that section, nor shall it be deemed to be incorporated by reference into any filing under the Securities Act, or the Exchange Act, regardless of any general incorporation language in such filing, except as shall be expressly set forth by specific reference in such a filing.

 

Item 8.01

Other Events.

The information set forth in the Explanatory Note of this Current Report on Form 8-K is incorporated by reference into this Item 8.01. In addition, the Company has updated its description of the Company’s securities registered pursuant to Section 12 of the Exchange Act, which is attached hereto as Exhibit 4.1, and incorporated by reference herein.

*   *   *

Important Information and Where to Find It

This Current Report on Form 8-K is being made in respect of certain Stockholder Proposals arising out of the Exchange Offer and the Transaction Support Agreement. The Stockholder Proposals will be submitted to the Company’s stockholders for their consideration and approval at a special meeting of the Company’s stockholders. In connection with the Stockholder Proposals, the Company will file with the SEC a proxy statement on Schedule 14A (the “Proxy Statement”), the definitive version of which (if and when available) will be sent or provided to the Company’s stockholders and will contain important information about the Stockholder Proposals and related matters. The Company may also file other relevant documents with the SEC regarding the Stockholder Proposals. This Current Report on Form 8-K is not a substitute for the Proxy Statement or any other document that the Company may file with the SEC. BEFORE MAKING ANY VOTING DECISION WITH RESPECT TO THE STOCKHOLDER PROPOSALS, INVESTORS AND SECURITY HOLDERS ARE URGED TO READ THE PROXY STATEMENT AND ANY OTHER RELEVANT DOCUMENTS THAT ARE FILED OR WILL BE FILED WITH THE SEC, AS WELL AS ANY AMENDMENTS OR SUPPLEMENTS TO THESE DOCUMENTS, CAREFULLY AND IN THEIR ENTIRETY IF AND WHEN THEY BECOME AVAILABLE BECAUSE THEY CONTAIN OR WILL CONTAIN IMPORTANT INFORMATION ABOUT THE STOCKHOLDER PROPOSALS, THE RISKS RELATED THERETO AND RELATED MATTERS.

Investors and security holders may obtain free copies of the Proxy Statement and other documents containing important information about the Company and the Stockholder Proposals that are filed or will be filed with the SEC by the Company when they become available at the SEC’s website at www.sec.gov or at the Company’s website at investors.beyondmeat.com.

Participants in the Solicitation

The Company and certain of its directors, executive officers and other members of management and employees may, under the rules of the SEC, be deemed to be participants in the solicitation of proxies from the Company’s stockholders in connection with the Stockholder Proposals. Information regarding the Company’s directors and named executive officers, including a description of their direct or indirect interests, by security holdings or otherwise, is contained in the definitive proxy statement for the 2025 annual meeting of stockholders, which was filed with the SEC on April 8, 2025 (the “2025 Annual Meeting Proxy Statement”).


To the extent holdings of the Company’s securities by such directors or executive officers (or the identity of such directors or executive officers) have changed since the information set forth in the 2025 Annual Meeting Proxy Statement, such information has been or will be reflected on the Initial Statements of Beneficial Ownership on Form 3 or Statements of Changes in Beneficial Ownership on Form 4 filed with the SEC. Additional information regarding the interests of the Company’s directors and executive officers in the Stockholder Proposals will be included in the Proxy Statement to be filed with the SEC. You may obtain free copies of these documents using the sources indicated above.

Note Regarding Forward-Looking Statements

Certain statements in this Current Report on Form 8-K constitute “forward-looking statements” within the meaning of the federal securities laws. These statements are based on management’s current opinions, expectations, beliefs, plans, objectives, assumptions or projections regarding future events or future results. Forward-looking statements include statements regarding the Company’s ability to consummate the Exchange Offer and Consent Solicitation and to complete the transactions contemplated by the Transaction Support Agreement, including obtaining approval of the Stockholder Proposals. These forward-looking statements are only predictions, not historical fact, and involve certain risks and uncertainties, as well as assumptions. Actual results, levels of activity, performance, achievements and events could differ materially from those stated, anticipated or implied by such forward-looking statements. While the Company believes that its assumptions are reasonable, it is very difficult to predict the impact of known factors, and, of course, it is impossible to anticipate all factors that could affect actual results. There are many risks and uncertainties that could cause actual results to differ materially from forward-looking statements made or implied herein including risks related to the Company’s ability to consummate the Exchange Offer and Consent Solicitation or to realize the anticipated benefits of the Exchange Offer and Consent Solicitation and the risks discussed under the heading “Risk Factors” in the Company’s Annual Report on Form 10-K for the fiscal year ended December 31, 2024 filed with the SEC on March 5, 2025, the Company’s Quarterly Report on Form 10-Q for the fiscal quarter ended March 29, 2025 filed with the SEC on May 8, 2025 and the Company’s Quarterly Report on Form 10-Q for the fiscal quarter ended June 28, 2025 filed with the SEC on August 8, 2025, as well as other factors described from time to time in the Company’s filings with the SEC. Such forward-looking statements are made only as of the date of this Current Report on Form 8-K. The Company undertakes no obligation to publicly update or revise any forward-looking statement because of new information, future events or otherwise, except as otherwise required by law. If the Company does update one or more forward-looking statements, no inference should be made that the Company will make additional updates with respect to those or other forward-looking statements.

 

Item 9.01

Financial Statements and Exhibits.

(d) Exhibits

 

Exhibit

Number

  

Description

 4.1    Description of the Registrant’s Securities
10.1*§    Transaction Support Agreement, dated September 29, 2025, among Beyond Meat, Inc., and the other parties thereto
10.2§    Form of Voting Agreement
99.1    Press release of Beyond Meat, Inc. dated September 29, 2025
104    Cover page interactive data file (embedded with the inline XBRL document)
 
* 

Certain schedules have been omitted pursuant to Item 601(a)(5) of Regulation S-K. The registrant undertakes to furnish supplemental copies of any of the omitted schedules upon request by the Securities and Exchange Commission.

§

Certain portions of this exhibit (indicated by “[***]”) have been redacted pursuant to Regulation S-K, Item 601(a)(6).


SIGNATURES

Pursuant to the requirements of the Securities Exchange Act of 1934, the registrant has duly caused this report to be signed on its behalf by the undersigned hereunto duly authorized.

 

BEYOND MEAT, INC.
By:  

/s/ Lubi Kutua

  Lubi Kutua
  Chief Financial Officer and Treasurer

Date: September 29, 2025

EX-4.1

Exhibit 4.1

DESCRIPTION OF THE REGISTRANT’S SECURITIES REGISTERED PURSUANT TO SECTION 12 OF THE SECURITIES EXCHANGE ACT OF 1934

Beyond Meat, Inc. has one class of securities registered pursuant to Section 12 of the Securities Exchange Act of 1934, as amended (the “Exchange Act”): its common stock, par value $0.0001 per share (“common stock”). The following description of our capital stock is a summary and does not purport to be complete. The following description is subject to and qualified in its entirety by reference to our restated certificate of incorporation and amended and restated bylaws, each of which is incorporated by reference as an exhibit to our Annual Report on Form 10-K.

We encourage you to read our restated certificate of incorporation, amended and restated bylaws and the applicable provisions of the Delaware General Corporation Law (the “DGCL”) for more information. References herein to “we,” “our,” “us,” and “the Company” refer solely to Beyond Meat, Inc.

General

Our authorized capital stock consists of 500,500,000 shares of capital stock, par value $0.0001 per share, of which:

 

   

500,000,000 shares are designated as common stock; and

 

   

500,000 shares are designated as preferred stock.

Our board of directors is authorized, without stockholder approval except as required by the listing standards of the Nasdaq Global Select Market (“Nasdaq”), to issue additional shares of our capital stock.

Voting Rights

Each holder of common stock is entitled to one vote for each share on all matters submitted to a vote of the stockholders, including the election of directors. Our restated certificate of incorporation and amended and restated bylaws do not provide for cumulative voting rights. In an uncontested election of directors, a nominee for director will be elected to the Board if the votes cast for exceed the votes cast against, whereas in a contested election of directors, a plurality of the votes cast will be sufficient to elect a director. With respect to all matters other than the election of directors, at any meeting of the stockholders at which a quorum is present or represented, the affirmative vote of a majority of the voting power of the shares present in person or represented by proxy at such meeting and entitled to vote on the subject matter shall be the act of the stockholders, except as otherwise required by law. The holders of one-third of the stock issued and outstanding and entitled to vote, present in person or represented by proxy, shall constitute a quorum for the transaction of business at all meetings of the stockholders.


Dividends

Subject to preferences that may be applicable to any then-outstanding preferred stock, holders of our common stock are entitled to receive dividends, if any, as may be declared from time to time by our board of directors out of legally available funds.

Liquidation

In the event of our liquidation, dissolution or winding up, holders of our common stock will be entitled to share ratably in the net assets legally available for distribution to stockholders after the payment of all of our debts and other liabilities and the satisfaction of any liquidation preference granted to the holders of any then-outstanding shares of preferred stock.

Rights and Preferences

Holders of our common stock have no preemptive, conversion, subscription or other rights, and there are no redemption or sinking fund provisions applicable to our common stock. The rights, preferences and privileges of the holders of our common stock are subject to and may be adversely affected by the rights of the holders of shares of any series of our preferred stock that we may designate in the future.

Fully Paid and Nonassessable

All of our outstanding shares of common stock are fully paid and nonassessable.

Anti-Takeover Effects of Certain Provisions of Delaware Law, Our Restated Certificate of Incorporation and Our Amended and Restated Bylaws

Certain provisions of Delaware law and certain provisions in our restated certificate of incorporation and amended and restated bylaws summarized below may be deemed to have an anti-takeover effect and may delay, deter, or prevent a tender offer or takeover attempt that a stockholder might consider to be in its best interests, including attempts that might result in a premium being paid over the market price for the shares held by stockholders.

Preferred Stock

Our restated certificate of incorporation contains provisions that permit our board of directors to issue, without any further vote or action by the stockholders, shares of preferred stock in one or more series and, with respect to each such series, to fix the number of shares constituting the series and the designation of the series, the voting rights (if any) of the shares of the series, and the powers, preferences or relative, participation, optional and other special rights, if any, and any qualifications, limitations or restrictions, of the shares of such series.

Classified Board of Directors

Our restated certificate of incorporation provides that our board of directors is divided into three classes, designated Class I, Class II, and Class III. Each class has an equal number of directors, as nearly as possible, consisting of one-third of the total number of directors constituting our entire board of directors. At each annual meeting of stockholders, successors to the class of directors whose term expires at that annual meeting will be elected for a three-year term.


Removal of Directors

Our restated certificate of incorporation provides that stockholders may only remove a director for cause by a vote of no less than two-thirds of the shares present in person or by proxy at the meeting and entitled to vote.

Director Vacancies

Our restated certificate of incorporation authorizes only our board of directors to fill vacant directorships.

No Cumulative Voting

Our restated certificate of incorporation provides that stockholders do not have the right to cumulate votes in the election of directors.

Special Meetings of Stockholders

Our restated certificate of incorporation and amended and restated bylaws provide that, except as otherwise required by law, special meetings of the stockholders may be called only by an officer at the request of a majority of our board of directors, by the chairperson of our board of directors, by the lead independent director or by our Chief Executive Officer.

Advance Notice Procedures for Director Nominations

Our bylaws provide that stockholders seeking to nominate candidates for election as directors at an annual or special meeting of stockholders must provide timely notice thereof in writing. To be timely, a stockholder’s notice generally will have to be delivered to and received at our principal executive offices before notice of the meeting is issued by the Secretary of the company, with such notice being served not less than 90 nor more than 120 days before the first anniversary of the preceding year’s annual meeting. Although the amended and restated bylaws do not give our board of directors the power to approve or disapprove stockholder nominations of candidates to be elected at an annual meeting, the amended and restated bylaws may have the effect of precluding the conduct of certain business at a meeting if the proper procedures are not followed or may discourage or deter a potential acquirer from conducting a solicitation of proxies to elect its own slate of directors or otherwise attempting to obtain control of the company.

Action by Written Consent

Our restated certificate of incorporation and amended and restated bylaws provide that any action to be taken by the stockholders must be effected at a duly called annual or special meeting of stockholders and may not be effected by written consent.

Amending our Certificate of Incorporation and Bylaws

Our restated certificate of incorporation may be amended or altered in any manner provided by the DGCL. Our amended and restated bylaws may be adopted, amended, altered, or repealed by stockholders only upon approval of at least a majority of the voting power of all the then outstanding shares of the common stock, except for any amendment of the above provisions, which would require the approval of a two-thirds majority of our then outstanding common stock. Additionally, our restated certificate of incorporation provide that our bylaws may be amended, altered, or repealed by our board of directors.


Authorized but Unissued Shares

Our authorized but unissued shares of common stock and preferred stock will be available for future issuances without stockholder approval, except as required by the listing standards of Nasdaq, and could be utilized for a variety of corporate purposes, including future offerings to raise additional capital, acquisitions and employee benefit plans. The existence of authorized but unissued and unreserved common stock and preferred stock could render more difficult or discourage an attempt to obtain control of the company by means of a proxy contest, tender offer, merger or otherwise.

Exclusive Forum

Our restated certificate of incorporation provides that, unless we consent to the selection of an alternative forum, the Court of Chancery of the State of Delaware shall be the sole and exclusive forum for:

 

   

any derivative action or proceeding brought on our behalf;

 

   

any action asserting a claim of breach of a fiduciary duty owed by, or other wrongdoing by, any of our directors, officers, employees or agents or our stockholders;

 

   

any action asserting a claim against us arising pursuant to the DGCL; and

 

   

any action regarding our restated certificate of incorporation or our amended and restated bylaws or any action asserting a claim against us that is governed by the internal affairs doctrine;

provided, that with respect to any derivative action or proceeding brought on our behalf to enforce any liability or duty created by the Exchange Act or the rules and regulations thereunder, the exclusive forum will be the federal district courts of the United States of America.

Our restated certificate of incorporation further provides that the federal district courts of the United States of America will be the exclusive forum for resolving any complaint asserting a cause of action arising under the Securities Act of 1933, as amended.

The exclusive forum provisions described above may limit a stockholder’s ability to bring a claim in a judicial forum that it finds favorable for disputes with us or our directors, officers, or other employees, which may discourage lawsuits against us and our directors, officers and other employees.


Business Combinations with Interested Stockholders

Subject to certain exceptions, Section 203 of the DGCL prohibits a public Delaware corporation from engaging in a business combination (as defined in such section) with an “interested stockholder” (defined generally as any person who beneficially owns 15% or more of the outstanding voting stock of such corporation or any person affiliated with such person) for a period of three years following the time that such stockholder became an interested stockholder, unless (i) prior to such time the board of directors of such corporation approved either the business combination or the transaction that resulted in the stockholder becoming an interested stockholder; (ii) upon consummation of the transaction that resulted in the stockholder becoming an interested stockholder, the interested stockholder owned at least 85% of the voting stock of such corporation at the time the transaction commenced (excluding for purposes of determining the voting stock of such corporation outstanding (but not the outstanding voting stock owned by the interested stockholder) those shares owned (A) by persons who are directors and also officers of such corporation and (B) by employee stock plans in which employee participants do not have the right to determine confidentially whether shares held subject to the plan will be tendered in a tender or exchange offer); or (iii) at or subsequent to such time the business combination is approved by the board of directors of such corporation and authorized at a meeting of stockholders (and not by written consent) by the affirmative vote of at least 66 2/3% of the outstanding voting stock of such corporation not owned by the interested stockholder.

Listing

Our common stock is listed on the Nasdaq Global Select Market under the symbol “BYND.”

EX-10.1

Exhibit 10.1

EXECUTION VERSION

TRANSACTION SUPPORT AGREEMENT

This TRANSACTION SUPPORT AGREEMENT (together with all exhibits and attachments hereto, as amended, supplemented, or otherwise modified from time to time in accordance with the terms hereof, this “Agreement”), dated as of September 29, 2025, is entered into by and among:

 

  a)

Beyond Meat, Inc., a Delaware corporation (the “Company”); and

 

  b)

each of the beneficial owners or nominees, investment managers, or advisors for beneficial holders of the Existing 2027 Notes (as defined below), each as set forth on Exhibit A (each, a “Supporting Holder” and, collectively, the “Supporting Holders”).

The Company and the Supporting Holders are referred to herein individually as a “Party” and collectively as the “Parties”.

PRELIMINARY STATEMENTS

WHEREAS, as of the date hereof, the Supporting Holders hold, in the aggregate, approximately 46% of the aggregate outstanding principal amount of the Company’s 0% convertible senior notes due 2027 (the “Existing 2027 Notes”) issued pursuant to that certain Indenture, dated as of March 5, 2021 (as amended, restated, supplemented, or otherwise modified from time to time in accordance with the terms thereof, the “Existing 2027 Notes Indenture”), between the Company, as issuer, and U.S. Bank National Association, as trustee (in such capacity, the “Existing 2027 Notes Trustee”);

WHEREAS, the Parties have agreed to support and pursue, among other things, an exchange of the Existing 2027 Notes for (i) new second lien convertible notes of the Company due 2030 (the “New Second Lien Convertible Notes”) and (ii) new common equity of the Company (the “New Equity”) (collectively, the “Notes Exchange”) and related transactions as described in the Exchange Offer Materials (as defined below), in each case, in accordance with and subject to the terms and conditions set forth herein and the Definitive Documents (as defined below);

WHEREAS, this Agreement, the Exchange Offer Materials, and the Restructuring Transactions (as defined below) are the product of arm’s-length, good faith negotiations among the Company and the Supporting Holders;

WHEREAS, subject to the terms and conditions hereof, the Parties desire to express to each other their mutual support and commitment in respect of the Restructuring Transactions and other matters discussed herein; and

WHEREAS, this Agreement may be executed on behalf of one or more Supporting Holders by such Supporting Holder’s investment manager or adviser, which is a signatory hereto solely in its capacity as the investment manager or adviser of such Supporting Holder, and all agreements, representations, warranties, covenants and undertakings made herein and hereby are made by such Supporting Holder and not such investment manager or adviser.


NOW, THEREFORE, in consideration of the promises and the mutual covenants and agreements set forth herein, and for other good and valuable consideration, the receipt and sufficiency of which are hereby acknowledged, the Parties, intending to be legally bound, agree as follows:

1. Certain Definitions.

As used in this Agreement, the following terms have the following meanings:

(a) “Ad Hoc Noteholder Group” means the ad hoc group of certain unaffiliated holders or beneficial holders (or investment advisors, sub-advisors or managers of funds and/or accounts that are holders or beneficial holders of such indebtedness) of Existing 2027 Notes represented by Akin and Houlihan.

(b) “Affiliate” means, with respect to any Person, any other Person directly or indirectly controlling, controlled by, or under common control with, such Person.

(c) “Agreement” has the meaning referred to in the preamble hereto.

(d) “Akin” means Akin Gump Strauss Hauer & Feld LLP, as counsel to the Ad Hoc Noteholder Group.

(e) “Akin Engagement Letter” means that certain letter agreement, dated April 1, 2025, by and among the Ad Hoc Noteholder Group, the Company and Akin.

(f) “Alternative Transaction” has the meaning set forth in Section 4(a)(iii) hereof.

(g) “Announcement” has the meaning set forth in Section 26 hereof.

(h) “beneficial owner”, “beneficially own” or “beneficial ownership” has the meaning given such term in Rule 13d-3 under the Exchange Act.

(i) “Business Day” means a day other than a Saturday, Sunday, or other day on which commercial banks in New York, New York are authorized or required by law to close.

(j) “Chosen Court” means the United States District Court for the Southern District of New York or any New York state court sitting in the Borough of Manhattan, New York, New York.

(k) “Claim” means any (a) right to payment, whether or not such right is reduced to judgment, liquidated, unliquidated, fixed, contingent, matured, unmatured, disputed, undisputed, legal, equitable, secured, or unsecured, or (b) right to an equitable remedy for breach of performance if such breach gives rise to a right to payment, whether or not such right to an equitable remedy is reduced to judgment, fixed, contingent, matured, unmatured, disputed, undisputed, secured, or unsecured, including the Existing 2027 Notes Claims.

 

2


(l) “Closing” means the consummation of the Restructuring Transactions, including the Notes Exchange, with respect to the Supporting Holders in accordance with the terms and conditions set forth in this Agreement, each of the Definitive Documents, pursuant to which the Supporting Holders’ Existing 2027 Notes are delivered to and accepted by the Company in exchange for New Second Lien Convertible Notes and New Equity.

(m) “Company” has the meaning referred to in the preamble hereto.

(n) “Company Released Claims” has the meaning set forth in Section 5(a) hereof.

(o) “Company Released Parties” has the meaning set forth in Section 5(b) hereof.

(p) “Confidentiality Agreement” means that certain Nondisclosure Agreement, among the Company, on the one hand, and any Supporting Holders or their advisors, on the other hand (as amended, restated, supplemented or otherwise modified), dated as of April 3, 2025.

(q) “Control” (including the terms “controlling,” “controlled by” and “under common control with”), with respect to the relationship between or among two or more Persons, means the possession, directly or indirectly, of the power to direct or cause the direction of the affairs or management of a Person, whether through the ownership of voting securities, as trustee or executor, by contract or otherwise.

(r) “Conversion Shares” means the shares of common equity of the Company issuable upon conversion or redemption of the New Second Lien Convertible Notes.

(s) “Definitive Documents” has the meaning set forth in Section 2(b) hereof.

(t) “Exchange Act” means the Securities Exchange Act of 1934, as amended, and the rules and regulations promulgated thereunder.

(u) “Exchange Commencement Date” means the date on which the Company commences the Notes Exchange by announcing such commencement and transmitting the Exchange Offer Materials to the Holders.

(v) “Exchange Offer” means that certain exchange offer with respect to the Existing 2027 Notes pursuant to the terms of this Agreement and the Exchange Offer Materials.

(w) “Exchange Offer Materials” means the offering memoranda used in connection with the Notes Exchange for the purpose of conducting, and solicitating participation in, the Notes Exchange, in the form attached hereto as Exhibit B, and any related documents.

(x) “Excluded Claims” has the meaning set forth in Section 5(a) hereof.

 

3


(y) “Existing 2027 Notes” has the meaning referred to in the preliminary statements herein.

(z) “Existing 2027 Notes Claims” means any Claim against the Company arising under, derived from, based on, on account of, or related to the Existing 2027 Notes Indenture.

(aa) “Existing 2027 Notes Indenture” has the meaning referred to in the preliminary statements herein.

(bb) “Existing 2027 Notes Trustee” has the meaning referred to in the preliminary statements herein.

(cc) “Expiration Time” means the expiration time of the Exchange Offer as set forth in the Exchange Offer Materials.

(dd) “Fiduciary Out” has the meaning set forth in Section 4(b) hereof.

(ee) “Final Order” means an order or judgment, the operation or effect of which has not been reversed, stayed, modified, or amended, is in full force and effect, and as to which order or judgment (or any reversal, stay, modification, or amendment thereof) (i) the time to appeal, seek leave to appeal, seek certiorari, or request reargument or further review or rehearing has expired and no appeal, motion for leave to appeal or petition for certiorari, or request for reargument or further review or rehearing has been timely filed, or (ii) any appeal that has been or may be taken, motion for leave to appeal, or any petition for certiorari or request for reargument or further review or rehearing that has been or may be filed has been resolved by the highest court to which the order or judgment was appealed, from which leave was sought or from which certiorari was sought, or to which the request was made, and no further appeal or petition for certiorari or request for reargument or further review or rehearing has been or can be taken or granted; provided that the possibility that a motion under Rule 60 of the Federal Rules of Civil Procedure, or any analogous rule may be filed relating to such order shall not prevent such order from being a Final Order.

(ff) “Holder Released Claims” has the meaning set forth in Section 5(b) hereof.

(gg) “Houlihan” means Houlihan Lokey, Inc., as financial advisor to the Ad Hoc Noteholder Group.

(hh) “Houlihan Engagement Letter” means that certain engagement letter, dated as of December 9, 2022 by and among Houlihan, Akin, and the Company.

(ii) “Governmental Entity” means any applicable federal, state, local or foreign government or any agency, bureau, board, commission, court or arbitral body, department, political subdivision, regulatory or administrative authority, tribunal or other instrumentality thereof, or any self-regulatory organization.

(jj) “Intercreditor Agreement” means the form of intercreditor agreement attached hereto as Exhibit C.

 

4


(kk) “Joinder Agreement” means that certain joinder attached hereto as Exhibit D.

(ll) “Law” means any federal, state, local, or foreign law (including common law), statute, code, ordinance, rule, regulation, order, ruling, or judgment, in each case, that is validly adopted, promulgated, issued, or entered by a governmental authority of competent jurisdiction.

(mm) “Milestones” has the meaning set forth in Section 2(a) hereof.

(nn) “Minimum Participation” has the meaning set forth in Section 6(c) hereof.

(oo) “MIP Documentation” means the Amended and Restated Company 2018 Equity Incentive Plan and the forms of award agreements thereunder.

(pp) “Mutual Release” means the mutual release by the Company and the Supporting Holders, including the release of their respective Related Parties, as set forth in Section 5 of this Agreement, effective as of the Closing.

(qq) “Necessary Action” means, with respect to a specified result, taking all actions required to cause such result that are within the power of a specified Person (to the extent such actions are not prohibited by applicable Law and within such Person’s control), including (i) causing members of the board of directors or any committee of the board to submit resignations, (ii) causing members of the board of directors to fill the vacancies created by such resignations, (iii) causing the board of directors or any nominating committee thereof to nominate or appoint, or taking steps to cause the nomination or appointment of, certain Persons and providing the highest level of support for the election or appointment of such Persons to the board of directors or any committee thereof, including in connection with the annual or special meeting of stockholders and (iii) assisting in preparing or furnishing forms of ballots, proxies, consents or similar instruments, and facilitating the collection or processing of such ballots, proxies, consents or instruments relating to the foregoing.

(rr) “New Equity” has the meaning referred to in the preliminary statements herein.

(ss) “New Second Lien Convertible Notes” has the meaning referred to in the preliminary statements herein.

(tt) “New Second Lien Convertible Notes Indenture” means an indenture for the New Second Lien Convertible Notes to be entered into by and among the Company, any applicable guarantors, and the trustee and collateral agent party thereto.

(uu) “Notes Exchange” has the meaning referred to in the preliminary statements herein.

(vv) “Party” has the meaning referred to in the preamble hereto.

 

5


(ww) “Permitted Transferee” has the meaning set forth in Section 7(a) hereof.

(xx) “Person” means an individual, a partnership, a joint venture, a limited liability company, a corporation, a trust, an unincorporated organization, a group, or any legal entity or association.

(yy) “Pro Rata Share” means with respect to the Existing 2027 Notes, a fraction (expressed as a percentage), the numerator of which is the principal amount of Existing 2027 Notes held by the applicable SteerCo Member and the denominator of which is the aggregate principal amount of all Existing 2027 Notes held by all SteerCo Members.

(zz) “Qualified Marketmaker” means an entity that (i) holds itself out to the public or the applicable private markets as standing ready in the ordinary course of business to purchase from customers and sell to customers Existing 2027 Notes (or enter with customers into long and short positions in Existing 2027 Notes), in its capacity as a dealer or market maker in Existing 2027 Notes and (ii) is, in fact, regularly in the business of making a market in claims against issuers or borrowers (including debt securities or other debt).

(aaa) “Released Supporting Holder Parties” has the meaning set forth in Section 5(a) hereof.

(bbb) “Related Party” means, with respect to a given entity, in each case in its capacity as such, such entity’s current and former directors, managers, officers, investment committee members, managing members, special committee members, shareholders, unitholders, equity holders (regardless of whether such interests are held directly or indirectly), affiliated investment funds and/or investment vehicles, managed accounts and/or funds, predecessors, assignors, participants, successors, assigns (whether by operation of law or otherwise), associated entities, direct and indirect subsidiaries, Affiliates, partners, limited partners, general partners, principals, members, management companies, fund advisors and/or managers, fiduciaries, employees, agents, trustees, advisory board members, financial advisors, attorneys, accountants, investment bankers, consultants, representatives, and other professionals and advisors (including, but not limited to, any other attorneys or professionals retained by any current or former director or manager in his or her capacity as director or manager of an entity).

(ccc) “Required Supporting Holders” means Supporting Holders that, in aggregate, hold at least a majority of the principal face amount of the Existing 2027 Notes held by Supporting Holders as of the time of determination.

(ddd) “Restructuring Transactions” means (i) the Notes Exchange (including the receipt of New Second Lien Convertible Notes, New Equity and the SteerCo Exchange Premium in connection therewith), (ii) the Mutual Release, and (iii) any and all other transactions contemplated by the Exchange Offer Materials.

(eee) “Securities Act” means the Securities Act of 1933, as amended.

 

6


(fff) “SteerCo Exchange Premium” has the meaning set forth in Section 2(d) hereof.

(ggg) “SteerCo Member” means the members of the steering committee of the Ad Hoc Noteholder Group that have been identified to the Company by Akin.

(hhh) “Support Effective Date” has the meaning set forth in Section 12 hereof.

(iii) “Support Period” means the period commencing on the Support Effective Date and ending on the date on which this Agreement is terminated in accordance with Section 8 hereof.

(jjj) “Supporting Holder” has the meaning referred to in the preamble hereto.

(kkk) “Supporting Holders’ Fees and Expenses” means all reasonable and documented fees and expenses of Akin, Houlihan and local counsel in each jurisdiction necessary to consummate the Restructuring Transactions, each in its capacity as a professional advisor retained by the Ad Hoc Noteholder Group, to the extent consistent with the terms of the Akin Engagement Letter, the Houlihan Engagement Letter and any engagement letter with any local counsel to the Ad Hoc Noteholder Group, including, for the avoidance of doubt, all accrued and unpaid fees and expenses accrued by Akin from the Noteholder Retention Date (as defined in the Akin Engagement Letter) through February 28, 2025.

(lll) “Termination Date” has the meaning set forth in Section 8 hereof.

(mmm) “Termination Event” has the meaning set forth in Section 8 hereof.

(nnn) “Transfer” means, with respect to any security, directly or indirectly, to transfer, sell, exchange, assign, or convey legal or beneficial ownership interest in (including the right or power to vote), or otherwise dispose of (whether by sale, liquidation, dissolution, dividend, distribution or otherwise) such security; provided, however, that any customary custodian arrangement or account at a prime broker, bank or broker-dealer at which a Supporting Holder maintains an account in the ordinary course of business including Existing 2027 Notes where such prime broker, bank or broker-dealer holds a security interest, pledge or other encumbrance over securities held in such account generally shall not be deemed a “Transfer” for any purposes hereunder so long as the Supporting Holder retains the right to tender and provide consents for such Existing 2027 Notes and to vote the New Equity received in exchanged for such Existing 2027 Notes.

(ooo) “Transfer Agreement” means an executed form of the transfer agreement substantially in the form attached to this Agreement as Exhibit E providing, among other things, that a transferee is bound by the terms of this Agreement. For the avoidance of doubt, any transferee that executes a Transfer Agreement shall be a “Party” under this Agreement as provided therein.

 

7


(ppp) “Voting Agreements” means separate agreements between each Supporting Holder and the Company, under which, among other things, each Supporting Holder separately agrees to vote in favor of each of the proposals to be included in the proxy statement (the “Preliminary Proxy Statement”) to be filed by the Company with respect to a special meeting (the “Special Meeting”) of stockholders to be held following the Closing, with respect to: (i) increasing the Company’s share authorization, (ii) approving a reverse share split, upon a failure to meet the Nasdaq continued listing standards as described therein (iii) allowing the settlement of all share deliveries proposed under the New Second Lien Convertible Notes, and (iv) approving the amendment and restatement of the Company’s 2018 Equity Incentive Plan.

2. Milestones; Definitive Documents; Exchange Premium.

(a) During the Support Period, the Parties shall implement the Restructuring Transactions in accordance with the following milestones (the “Milestones”), unless extended or waived in writing (which may be by electronic mail), as applicable, by the Company and the Required Supporting Holders, each in their sole discretion:

 

  1)

No later than the date hereof, the Exchange Commencement Date shall have occurred, the Company shall have filed the Preliminary Proxy Statement with the SEC and the Company shall have set a date no later than the third Business Day after the expected Early Settlement Date (as defined in the Exchange Offer Materials) as the record date for the Special Meeting, which record date is subject to change by the Company in its discretion if, among other things, the Early Settlement Date does not occur; and

 

  2)

No later than November 14, 2025, the Closing shall have occurred.

(b) Each of (i) the Exchange Offer Materials, (ii) the New Second Lien Convertible Notes Indenture, (iii) the Intercreditor Agreement, (iv) the Voting Agreements, (v) the MIP Documentation, (vi) the requisite collateral documents, (vii) the Preliminary Proxy Statement and (viii) in each case of clause (i) through (vii), any amendments, modifications, supplements, waivers, exhibits, schedules or appendices thereto, including any amendments to, or waivers of, conditions to the Exchange Offer included in the Exchange Offer Materials or extensions of time of any deadlines therein, and any related notes, certificates, agreements, documents, and instruments (as applicable), shall be in form and substance consistent with this Agreement and the Exchange Offer Materials as of the date hereof and the forms attached hereto and otherwise reasonably satisfactory to the Required Supporting Holders and the Company (collectively clauses (i) through (viii), and together with any exhibits, schedules, annexes or attachments thereto that are reasonably necessary to implement the Restructuring Transactions, the “Definitive Documents”); provided, however, that (A) if prior to the Early Tender Date (as defined in the Exchange Offer Materials as of the date hereof), the SEC informs the Company that it is reviewing the Preliminary Proxy Statement, the Company may extend the Early Tender Date, with a corresponding extension of the Early Settlement Date (as defined in the Exchange Offer Materials as of the date hereof), to a date no later than five (5) Business Days after confirmation from the SEC that is has no further comments on the Preliminary Proxy

 

8


Statement (provided, that, in the event of any extension pursuant to this clause (A), (i) the Company shall respond to any such comments from the SEC as promptly as practicable, (ii) the Company shall promptly provide copies of any SEC comment letters to Akin, and (iii) the Company shall consult with Akin (including by providing drafts of proposed responses to the SEC) with respect to any responses that the Company proposes to submit to the SEC prior to such submission) and (B) the Company may extend any deadline in the Exchange Offer Materials if, upon the advice of its outside securities counsel after consultation with Akin, the Company determines that such extension is reasonably required to comply with applicable securities laws.

(c) The exhibits attached hereto (including but not limited to any Definitive Documents) are fully incorporated by reference herein and are made a part of this Agreement as if fully set forth herein, and all references to this Agreement shall include and incorporate all such exhibits; provided, however, to the extent that there is a conflict between this Agreement, on the one hand, and any Definitive Document, on the other hand, the terms and conditions of the Definitive Document (as applicable) shall govern. Neither this Agreement nor any exhibit attached hereto, nor any provision hereof or thereof, may be modified, waived, amended, or supplemented, except in accordance with Section 2(b) and Section 17 hereof.

(d) At Closing, the Company shall pay or cause to be paid to each SteerCo Member, or such SteerCo Member’s designee(s), as applicable, a non-refundable premium (the “SteerCo Exchange Premium”) equal to such SteerCo Member’s Pro Rata Share of $12.5 million of New Second Lien Convertible Notes, to be issued to such SteerCo Member through the facilities of the Depository Trust Company, which may be effectuated via an adjustment to the exchange ratio in the Exchange Offer for such SteerCo Members.

(e) At Closing, the Company shall take all Necessary Action, without increasing the size of the board of directors, to cause the resignation of two directors from the board of directors of the Company and to cause the individuals listed on Schedule A hereto to be appointed to the classes and committees set forth opposite their name on Schedule A (and to cause any one such individual to be appointed to each of the then-existing special committee or committees of the board of directors, if any, other than any committee that the board of directors has resolved in advance to dissolve and actually is dissolved upon the completion of the Exchange Offer).

3. Agreements of the Supporting Holders.

(a) Support for the Restructuring Transactions from Supporting Holders. During the Support Period, and, in each case, (x) subject to the terms and conditions hereof, (y) unless otherwise expressly permitted or required by this Agreement or the Definitive Documents, or (z) otherwise consented to in writing by the Company, each Supporting Holder, solely on its own behalf, agrees that it shall:

(i) negotiate in good faith and timely execute, implement, deliver, and perform its obligations under each of the Definitive Documents that are consistent in all material respects with this Agreement and the Exchange Offer Materials, as each may be modified, amended, or supplemented in accordance with the terms of this Agreement, in form and substance reasonably acceptable to the Required Supporting Holders, to which it is to be a party;

 

9


(ii) support the Restructuring Transactions, including, subject to the terms and conditions of the Definitive Documents, by, as applicable, tendering its Existing 2027 Notes for exchange in the Notes Exchange and submitting consents with respect thereto no later than the 9th Business Day after the Exchange Commencement Date in accordance with the applicable procedures set forth in the Exchange Offer Materials and not withdrawing such tender (or consent) at any time thereafter other than in accordance with the procedures set forth in the Exchange Offer Materials and this Agreement;

(iii) (A) not direct the Existing 2027 Notes Trustee (or any successor thereto) to take any action inconsistent with such Supporting Holder’s obligations under this Agreement and (B) give any notice, order, instruction, consent, or direction to the Existing 2027 Notes Trustee to the extent necessary to give effect to the Restructuring Transactions; provided, that, no Supporting Holder shall be required to provide the Existing 2027 Notes Trustee or any other Person, with any indemnity or similar undertaking in connection with taking any such action or incur any fees or expenses in connection therewith (beyond any existing indemnity obligations provided for in the Existing 2027 Notes);

(iv) support and take all commercially reasonable actions necessary or reasonably requested by the Company to facilitate the implementation and consummation of the Restructuring Transactions in accordance with the Milestones and the other terms of this Agreement, including, without limitation, commercially reasonable actions to (A) support and complete the Restructuring Transactions and all other actions contemplated in connection therewith and under the Definitive Documents, (B) obtain any and all required governmental, regulatory, and third-party approvals for the Restructuring Transactions, and (C) refrain from taking any actions inconsistent with, and not failing or omitting to take an action that is required by, this Agreement or the Definitive Documents;

(v) not arrange, fund, participate in or consent to any credit facility, bond issuance, or other financing, rights offering, or issuance of debt or equity securities in connection with, or otherwise support or participate in any reorganization, merger, consolidation, business combination, or other recapitalization or debt restructuring, of the Company (whether through a judicial process or otherwise) other than in the ordinary course of business or in connection with the Restructuring Transactions;

(vi) not object to, delay, impede, or take any other actions intended or reasonably expected to interfere with the implementation and consummation of the Restructuring Transactions, including, for the avoidance of doubt and without limitation, declaring any default under the Existing 2027 Notes Indenture, or accelerating the Company’s obligations under the Existing 2027 Notes Indenture,

 

10


in each case solely as a result of the Restructuring Transactions; provided, however, this Section 3.5(a)(vi) shall apply only to the extent that the Company has not triggered a new default under the Existing 2027 Notes Indenture after the Support Effective Date and even then, only with respect to such default; and

(vii) to the extent any legal or structural impediment arises that would prevent, hinder, or delay the consummation of the Restructuring Transactions contemplated in this Agreement, negotiate in good faith with the Company appropriate additional or alternative provisions or alternative implementation mechanics to address any such impediment, and support and take all steps reasonably necessary and desirable to address any such impediment.

(b) Additional Provisions Regarding the Supporting Holders’ Agreements. Notwithstanding anything contained in this Agreement, nothing in this Agreement shall: (i) affect the ability of any Supporting Holder to consult with any other Supporting Holder, the Company, or any other party in interest; provided, that, such consultation complies with the applicable non-disclosure agreement between the Supporting Holder and the Company; (ii) prevent any Supporting Holder from (A) enforcing this Agreement or any Definitive Documents, (B) contesting whether any matter, fact, or thing is a breach of, or is inconsistent with, this Agreement or any Definitive Document, or (C) exercising any rights or remedies under this Agreement, any Definitive Document, or the Existing 2027 Notes Indenture or related documents if there is a default after the Support Effective Date under such indenture by the Company; or (iii) require any Supporting Holder to (A) take any action that is prohibited by applicable Law, (B) waive or forego the benefit of any applicable legal privilege, (C) incur, assume, become liable in respect of, or suffer to exist any expenses, liabilities, or other obligations, except with respect to costs and expenses that the Company has agreed to reimburse on terms satisfactory to such Supporting Holder, or (D) agree to or become bound by any commitments, undertakings, concessions, indemnities, or other arrangements that could result in expenses, liabilities, or other obligations to such Supporting Holder, except with respect to such costs and expenses that the Company has agreed to reimburse on terms satisfactory to such Supporting Holder or except as contemplated in the Definitive Documents.

4. Agreements of the Company.

(a) Support for the Restructuring Transactions from the Company. During the Support Period, and, in each case, (x) subject to the terms and conditions hereof, (y) unless otherwise expressly permitted or required by this Agreement or the Definitive Documents, or (z) otherwise consented to in writing by the Required Supporting Holders, the Company agrees that it shall:

(i) negotiate in good faith and timely execute, implement, deliver, and perform its obligations under each of the Definitive Documents that are consistent in all material respects with this Agreement and the Exchange Offer Materials, as each may be modified, amended, or supplemented in accordance with the terms of this Agreement, in form and substance reasonably acceptable to the Company, to which it is to be a party;

 

11


(ii) support and take all actions necessary or reasonably requested by the Required Supporting Holders to facilitate the implementation and consummation of the Restructuring Transactions in accordance with the Milestones and the other terms of this Agreement and the Definitive Documents, including, without limitation, actions to (A) conduct the Exchange Offer in accordance with applicable law and consistent with the terms of the Exchange Offer Materials and this Agreement, (B) support and complete the Restructuring Transactions and take all other actions contemplated in connection therewith and under the Definitive Documents, (C) use commercially reasonable efforts to obtain any and all required governmental, regulatory, and third-party approvals for the Restructuring Transactions, (D) refrain from taking any actions inconsistent with, and not failing or omitting to take an action that is required by, this Agreement or the Definitive Documents, and (E) oppose the efforts of any Person seeking to object to, delay, impede, or take any other action to interfere with the acceptance, implementation, or consummation of the Restructuring Transactions;

(iii) not (A) directly or indirectly solicit, propose, arrange, participate in, or consent to any credit facility (for the avoidance of doubt, excluding any draws under the Company’s existing delayed draw term loan facility), bond issuance, new-money investment, or other financing, rights offering, share exchange, or issuance of debt or equity securities in connection with, or otherwise support or participate in any sale, disposition, reorganization, merger, amalgamation, acquisition, consolidation, business combination, other recapitalization or debt restructuring, or any similar transaction to the foregoing, of the Company (whether through a judicial process or otherwise) other than in the ordinary course of business (which shall include surety bonds and similar financings) or in connection with the Restructuring Transactions or (B) exchange or offer to exchange any Existing 2027 Notes other than pursuant to the Notes Exchange (the transactions described in (A) and (B) each, an “Alternative Transaction”);

(iv) (A) conduct its business and operations in the ordinary course other than with respect to the Restructuring Transactions, (B) maintain its books and records in the ordinary course, (C) use commercially reasonable efforts to preserve intact its business organizations and relationships with third parties (including creditors, lessors, licensors, and contract counterparties) or commercially reasonable replacement parties in the ordinary course, and (D) use commercially reasonable efforts to maintain in effect all of its foreign, federal, state, and local licenses, permits, consents, franchises, approvals, and authorizations (except to the extent that failure to do so would not reasonably be expected to result in a materially adverse effect), in each case, in a manner materially consistent with past practices and in compliance with Law;

(v) promptly pay the Supporting Holders’ Fees and Expenses within ten (10) Business Days of receipt of an invoice by the Company or their counsel for such fees and expenses, consistent with the terms of the Akin Fee Letter, the Houlihan Engagement Letter and any engagement letter of any local counsel to the Ad Hoc Noteholder Group, or such earlier time to the extent set forth in this

 

12


Agreement; provided, that, to the extent this Agreement is terminated pursuant to Section 8, the Company’s obligations under this Section 4(a)(v) shall survive solely with respect to any and all fees and expenses incurred on or prior to the date of termination; provided, further, that nothing in this Agreement shall modify the terms of the Akin Fee Letter and the Houlihan Engagement Letter;

(vi) promptly notify counsel to the Supporting Holders of any material governmental or third-party complaints, litigations, investigations, or hearings related to the Restructuring Transactions;

(vii) to the extent any legal or structural impediment arises that would prevent, hinder, or delay the consummation of the Restructuring Transactions contemplated in this Agreement, negotiate in good faith with the Required Supporting Holders appropriate additional or alternative provisions or alternative implementation mechanics to address any such impediment, and support and take all steps reasonably necessary and desirable to address any such impediment;

(viii) consider in good faith all reasonable actions necessary or reasonably requested by the Supporting Holders to facilitate the solicitation and consummation of the Restructuring Transactions;

(ix) maintain its good standing and legal existence under the Laws of the state or other jurisdictions in which it is incorporated or organized;

(x) subject to Section 4(a)(xvi), upon reasonable advance notice, provide to the Supporting Holders (A) reasonable access to the management of and, to the extent appropriate, such applicable advisors to the Company, (B) reasonably timely updates regarding the Restructuring Transactions, including any material developments, (C) reasonably timely updates regarding the status of obtaining any necessary or desirable authorizations (including any consents) from any competent judicial body, governmental authority, banking, taxation, supervisory, or regulatory body, if any, and (D) any other information related to the Restructuring Transactions reasonably requested by the Supporting Holders; provided that, subject to clauses (xv) and (xvi) below and any Confidentiality Agreement, the Supporting Holders acknowledge that the Company shall be under no obligation to cleanse such Supporting Holders of information that is deemed to be material non-public information;

(xi) inform counsel to the Supporting Holders as soon as reasonably practicable (and in any event within two (2) Business Days of such event) after becoming aware of the following: (A) the occurrence, or failure to occur, of any event, the occurrence or failure of which would be reasonably likely to permit any Party to terminate, or would result in the termination of, this Agreement, (B) receipt of any written notice from any third party alleging that the consent of such party is required in connection with the Restructuring Transactions, (C) receipt of any written notice from any governmental or regulatory body regarding any approval necessary to consummate the Restructuring Transactions, (D) any notice of any commencement of any proceeding commenced, or to the actual knowledge of the Company, threatened against the Company in respect of the Restructuring Transactions, and (E) a material breach of this Agreement by the Company;

 

13


(xii) upon the termination by such Supporting Holder pursuant to Section 8(b) of this Agreement with respect to such Supporting Holder, notwithstanding any withdrawal deadline established with respect to any Exchange Transaction, permit such Supporting Holder to withdraw any Existing 2027 Notes tendered in connection with the Exchange Transactions;

(xiii) to the extent the Company receives any Joinders or Transfer Agreements, promptly notify the Required Supporting Holders of such Joinders and Transfer Agreements;

(xiv) not take any action that would constitute or result in a “Default” or an “Event of Default” under the New Second Lien Convertible Notes Indenture, assuming that the New Second Lien Convertible Notes Indenture as described in the “Description of New Convertible Notes” section in the Exchange Offer Materials was in full force and effect at all times during the Support Period;

(xv) not disclose material non-public information to any Supporting Noteholder unless such Supporting Noteholder (A) has confirmed it wishes to receive such material non-public information and (B) is party to a non-disclosure agreement containing customary cleansing mechanisms as to which such information is subject; and

(xvi) in the event that any information to be provided to any Supporting Noteholder that is a member of the Ad Hoc Group Noteholder Group in connection with this Agreement may contain material non-public information, deliver such information to Akin and Houlihan on a professional-eyes-only basis, instead of delivering such information to such Supporting Noteholder, unless and until such Supporting Holder has entered into a Confidentiality Agreement in form and substance acceptable to such Supporting Holder and agreed to receive such information from the Company.

(b) Notwithstanding anything to the contrary in this Agreement, (A) the board of directors or any such similar governing body of the Company (including for the avoidance of doubt its respective subsidiaries and Affiliates) shall be permitted to take (or permitted to refrain from taking) any action with respect to the Restructuring Transactions, including terminating the Restructuring Transactions, to the extent such board of directors or similar governing body has determined, in good faith (after consultation with outside counsel), that taking such action, or refraining from taking such action, as applicable, is reasonably required to comply with its fiduciary duties under applicable law, and (B) the officers and employees of the Company shall not be required to take any actions to the extent the board of directors or any such similar governing body of the Company (including for the avoidance of doubt its respective subsidiaries and Affiliates) has determined in good

 

14


faith (after consultation with outside counsel) that the taking of such actions would be inconsistent with such officer’s or employee’s fiduciary duties under applicable law (collectively, the “Fiduciary Out”). In the event the board of directors or any such similar governing body of the Company (including for the avoidance of doubt its respective subsidiaries and Affiliates) determines that taking any action or refraining from taking any action is required pursuant to this paragraph, the Company shall, within twenty-four (24) hours of its board of director’s or applicable similar governing body’s determination, provide written notice thereof (in accordance with Section 23 hereof) to the Supporting Holders.

5. Mutual Releases and Covenant Not to Sue.

(a) Effective from and after the Closing, in exchange for the cooperation and participation in the Restructuring Transactions of the Supporting Holders, the Company, on behalf of itself and its heirs, legal representatives, predecessors, successors and assigns, waives, releases, acquits and forever discharges the Supporting Holders and their Related Parties (collectively, the “Released Supporting Holder Parties”) and each of their respective property, to the fullest extent permitted under applicable law, from any and all causes of action and any other claims, debts, obligations, duties, rights, suits, judgments, disputes, defenses, liens, costs, expenses, damages, actions, derivative claims, remedies, and liabilities whatsoever, whether known or unknown, foreseen or unforeseen, contingent or absolute, suspected or unsuspected, accrued or unaccrued, apparent or unapparent, existing as of the Closing or arising thereafter, in law, at equity, or otherwise, whether for tort, contract, claims arising out of violations of federal or state securities laws, breach of duty (including any duty of candor), any laws or statutes similar to the foregoing, or otherwise, based in whole or in part upon any act or omission, transaction, or other occurrence or circumstances existing or taking place prior to or on the Closing in each case arising from or related in any way to the Company or the transactions or events giving rise to, or any claim that is treated as rising under, the Restructuring Transactions or the negotiation, formulation, or preparation of this Agreement, the Definitive Documents or the guarantees, security documents, agreements, instruments, or other documents in each case related to the Definitive Documents, that the Company or its heirs, legal representatives, successors or assigns ever had, now has or may have on or by reason of any matter, cause or thing whatsoever from the beginning of time until the Closing, including those that the Company or any holder of a claim against or interest in the Company or any other entity could have been legally entitled to assert derivatively or on behalf of any other entity or in the future can or might assert (collectively, the “Company Released Claims”). Further, from and after the Closing, the Company hereby covenants and agrees not to, directly or indirectly, bring, maintain, or encourage any cause of action or other claim or proceeding against a Released Supporting Holder Party relating to or arising out of any Company Released Claim. Notwithstanding anything to the contrary in this paragraph (a), nothing herein shall release, and Company Released Claims shall not include, (i) any rights or obligations arising under this Agreement, any Definitive Documents, or any related guarantees, security documents, agreements, instruments, or other documents (“Excluded Claims”), (ii) any claims in favor of the Company with respect to willful misconduct, actual fraud or gross negligence, as determined by a Final Order entered by a court of competent jurisdiction, or (iii) any claims against any Released

 

15


Supporting Holder Party who fails to execute and deliver any document required to be executed and delivered by such Released Supporting Holder Party to effectuate this Agreement or any Definitive Documents or the Transactions. The Released Supporting Holder Parties not party to this Agreement are intended third party beneficiaries of this Section 5, with full rights of enforcement of this Section 5 as if a party thereto.

(b) Effective from and after the Closing, in exchange for the cooperation and participation of the Company, each of the Supporting Holders, on behalf of itself and its heirs, legal representatives, predecessors, successors and assigns, waives, releases, acquits, and forever discharges the Company and each of its Related Parties (collectively, the “Company Released Parties”) and each of their respective property, to the fullest extent permitted under applicable law, from any and all causes of action and any other claims, debts, obligations, duties, rights, suits, judgments, disputes, defenses, liens, costs, expenses, damages, actions, derivative claims, remedies, and liabilities whatsoever, whether known or unknown, foreseen or unforeseen, contingent or absolute, suspected or unsuspected, accrued or unaccrued, apparent or unapparent, existing as of the Closing or arising thereafter, in law, at equity, or otherwise, whether for tort, contract, claims arising out of violations of federal or state securities laws, breach of duty (including any duty of candor), any laws or statutes similar to the foregoing, or otherwise, based in whole or in part upon any act or omission, transaction, or other occurrence or circumstances existing or taking place prior to or on the Closing in each case arising from or related in any way to the Company or the transactions or events giving rise to, or any claim that is treated as arising under, the Restructuring Transactions or the negotiation, formulation, or preparation of this Agreement, the Definitive Documents or the guarantees, security documents, agreements, instruments or other documents in each case related to the Definitive Documents, that a Supporting Holder or its heirs, legal representatives, successors or assigns ever had, now has or may have on or by reason of any matter, cause or thing whatsoever from the beginning of time until the Closing Date, including those that the Company or any holder of a claim against or interest in the Company or any other entity could have been legally entitled to assert derivatively or on behalf of any other entity or in the future can or might assert (collectively, the “Holder Released Claims”). Further, from and after the Closing, each of the Supporting Holders hereby covenants and agrees not to, directly or indirectly, bring, maintain or encourage any cause of action or other claim or proceeding against a Company Released Party relating to or arising out of any Holder Released Claim. Notwithstanding anything to the contrary in this paragraph (b), nothing herein shall release the Company Released Parties from and the Holder Released Claims shall not include, (i) any Excluded Claims, (ii) any claims in favor of the Supporting Holders with respect to willful misconduct, actual fraud or gross negligence, as determined by a Final Order entered by a court of competent jurisdiction, or (iii) against any Company Released Party who fails to execute and deliver any document required to be executed and delivered by such Company Released Party to effectuate this Agreement, any Definitive Documents or the Restructuring Transactions. The Company Released Parties not party to this Agreement are intended third party beneficiaries of this Section 5, with full rights of enforcement of this Section 5 as if a party thereto.

 

16


(c) The Supporting Holders and the Company acknowledge that they are aware that they or their attorneys may hereafter discover claims or facts in addition to or different from those which they now know or believe to exist with respect to either the subject matter of this Agreement or any party hereto, but they hereto further acknowledge that it is their intention to hereby fully, finally, and forever settle and release all claims among them to the extent provided in this Agreement, whether known or unknown, suspected or unsuspected, which now exist, may exist, or heretofore have existed.

(d) The Parties expressly waive the provisions, rights, and benefits of California Civil Code § 1542 and any provisions under any federal, state, local, foreign, tribal, or common law similar to California Civil Code § 1542, which provides: A GENERAL RELEASE DOES NOT EXTEND TO CLAIMS THAT THE CREDITOR OR RELEASING PARTY DOES NOT KNOW OR SUSPECT TO EXIST IN HIS OR HER FAVOR AT THE TIME OF EXECUTING THE RELEASE AND THAT, IF KNOWN BY HIM OR HER, WOULD HAVE MATERIALLY AFFECTED HIS OR HER SETTLEMENT WITH THE DEBTOR OR RELEASED PARTY. Each of the Parties expressly acknowledges that she, he, or it has been advised by her or his attorney of the contents and effect of Section 1542 of the California Civil Code or any other similar applicable provisions under any federal, state, local, foreign, tribal, or common law, and each Party expressly waives and relinquishes any and all rights and benefits that she, he, or it may have under, or that may be conferred upon her, him, or it by, the provisions of Section 1542 of the California Civil Code, or any other law of any state, territory, or jurisdiction that is similar, comparable, or equivalent to Section 1542, to the fullest extent that they may lawfully waive such rights or benefits pertaining to the Company Released Claims and Holder Released Claims (as applicable).

6. Conditions Precedent.

(a) It shall be a condition precedent to each Party’s obligation to consummate the Restructuring Transactions that:

(i) each of the Definitive Documents shall have, if applicable, been duly executed and delivered by each party thereto, shall be in form and substance consistent with this Agreement in all material respects, including the consent rights set forth herein, and shall be in full force and effect (and all conditions precedent to effectiveness thereunder shall have been satisfied or waived in accordance with the terms thereof) by the Closing;

(ii) the Termination Date shall not have occurred;

(iii) the Company has taken, or shall take simultaneously as of Closing, all Necessary Action and the individuals listed on Schedule A shall have been, or shall simultaneously as of Closing be, appointed to the classes and committees set forth opposite their name on Schedule A (and to cause any one such individual to be appointed to each of the then-existing special committee or committees of the board of directors, if any, other than any committee that the board of directors has resolved in advance to dissolve and actually is dissolved upon the completion of the Exchange Offer);

 

17


(iv) no court of competent jurisdiction or other competent governmental or regulatory authority shall have issued any order making illegal or otherwise restricting, preventing, or prohibiting the consummation of any of the Restructuring Transactions, with such order still being in effect;

(v) no temporary restraining order, permanent injunction, judgment, or other Law preventing, voiding, or making illegal the consummation of any of the Restructuring Transactions shall have been entered, issued, rendered, or made and still in effect;

(vi) the representations and warranties of the Parties contained herein shall be true and correct in all material respects at and as of the date hereof and as of the Closing with the same effect as if made at and as of such date and after giving effect to the Restructuring Transactions (except for such representations and warranties made as of a specified date, which shall be true and correct only as of the specified date);

(vii) the SteerCo Exchange Premium shall have been paid, or shall be paid substantially simultaneously with the Closing, by the Company to the SteerCo Members;

(viii) the Company shall have reimbursed the Supporting Holders for all Supporting Holders’ Fees and Expenses incurred by Akin, Houlihan and local counsel, that are payable on, before, or in connection with the occurrence of the Closing, for which an invoice has been received by the Company on or before the date that is two (2) Business Days prior to the Closing, including, for the avoidance of doubt, reasonable estimates of Supporting Holders’ Fees and Expenses through Closing; provided, that, to the extent the actually incurred Supporting Holders’ Fees and Expenses covered by such estimate are less than the paid estimate, then such excess shall be returned to the Company within thirty (30) days from Closing; and

(ix) the Parties shall have performed and complied, in all material respects, with all of their respective covenants and agreements contained in this Agreement that contemplate, by their terms, performance or compliance prior to the Closing.

(b) Any of the conditions set forth in Section 6(a) may be waived by the mutual written consent of the Company and the Required Supporting Holders.

(c) It shall be a condition precedent to the Parties’ obligation to consummate the Restructuring Transactions that holders of at least 85% of the aggregate principal amount of the Existing 2027 Notes (the “Minimum Participation”) shall, in each case, be exchanged pursuant to the Notes Exchange as of the Closing; provided, that, the Minimum Participation may be waived only by the mutual written consent of the Company and the Required Supporting Holders.

 

18


7. Transfers; Joinder.

(a) Subject to Section 3(b) herein, each Supporting Holder agrees with the Company, and only with the Company, that, for the duration of the Support Period, such Supporting Holder shall not Transfer any of the Existing 2027 Notes or any Claim derived therefrom to any other Person that is not (i) a Supporting Holder or (ii) an Affiliate of such Supporting Holder or a fund, account, or investment vehicle that is controlled, managed, advised, or sub-advised by such Supporting Holder or a common investment advisor therewith that is bound by this Agreement (each entity described in clauses (i) through (ii), a “Permitted Transferee”) unless the transferee executes and delivers to counsel to the Company and the Supporting Holders, within three (3) Business Days after such Transfer, a Transfer Agreement. Upon compliance with the requirements of this Section 7(a), the transferor shall be deemed to relinquish its rights (and be released from its obligations) under this Agreement only to the extent of the rights and obligations in respect of such transferred Existing 2027 Notes and/or Claims and the transferee shall be deemed a “Supporting Holder” under this Agreement.

(b) Notwithstanding anything to the contrary in this Section 7, the restrictions on Transfer set forth in this Section 7 shall in no way be construed to preclude any Supporting Holders or any of its Affiliates from acquiring additional Existing 2027 Notes; provided, that to the extent any Supporting Holder acquires additional Existing 2027 Notes, each such Supporting Holder agrees (i) to provide the Company upon their request and on the Exchange Commencement Date prior to the commencement of the Notes Exchange with an updated schedule of the principal amount of additional Existing 2027 Notes so acquired and (ii) that such additional Existing 2027 Notes shall be subject to this Agreement for the duration of the Support Period, to the extent, and solely to the extent, held by a Supporting Holder or any of its Affiliates, including, for the avoidance of doubt, such Supporting Holder’s obligation to deliver such additional Existing 2027 Notes for exchange in the Notes Exchange pursuant to Section 3(a)(ii) hereof.

(c) Notwithstanding Section 7(a), a Qualified Marketmaker that acquires any Existing 2027 Notes with the purpose and intent of acting as a Qualified Marketmaker for such Existing 2027 Notes shall not be required to execute and deliver a Joinder or Transfer Agreement in respect of such Existing 2027 Notes if (i) such Qualified Marketmaker subsequently Transfers such Existing 2027 Notes (by purchase, sale, assignment, participation, or otherwise) within five (5) Business Days of its acquisition to a transferee that is a Person that is not an Affiliate, affiliated fund, or affiliated Entity with a common investment advisor of the Qualified Marketmaker; (ii) the transferee otherwise is a Permitted Transferee under Section 7(a); or (iii) the Transfer otherwise is permitted under Section 7(a). To the extent that a Supporting Holder is acting in its capacity as a Qualified Marketmaker, it may Transfer (by purchase, sale, assignment, participation, or otherwise) any right, title, or interests in Existing 2027 Notes that the Qualified Marketmaker acquires from a holder of the Existing 2027 Notes who is not a Supporting Holder without the requirement that the transferee be a Permitted Transferee.

 

19


(d) The Company understands that the Supporting Holders are engaged in a wide range of financial services and businesses, and in furtherance of the foregoing, the Company acknowledges and agrees that the obligations and restrictions set forth in this Agreement shall only apply to the trading desk(s), fund(s), account(s), business group(s), and/or unit(s) of the Supporting Holders that principally manage and/or supervise each Supporting Holder’s investment in the Company and shall not apply to any other trading desk, fund(s), account(s), business group(s), and/or unit(s) therein of each Supporting Holder so long as they are not acting at the direction or for the benefit of such Supporting Holder or in connection with such Supporting Holders’ investment in the Company. For the avoidance of doubt and notwithstanding anything to the contrary in this Agreement, any Person or any trading desk(s), fund(s), account(s), business group(s), and/or unit(s) therein of, or advised by the same investment advisor of, a Supporting Holder shall not be a Supporting Holder or a Released Supporting Holder Party unless expressly included on a Supporting Holder’s signature page to this Agreement.

(e) Should any Person holding Existing 2027 Notes other than a Permitted Transferee wish to become a Supporting Holder hereunder, it may do so by executing the Joinder Agreement, and delivering an executed copy thereof, within two (2) Business Days of closing of such Transfer, via email to candace.arthur@lw.com, greg.rodgers@lw.com, jrubin@akingump.com and melanie.miller@akingump.com and, in which event such Person shall be deemed to be a Supporting Holder hereunder with respect to all rights and obligations under such Existing 2027 Notes and under this Agreement, pursuant to and subject to the terms and conditions of this Agreement.

8. Termination. This Agreement may be terminated upon the occurrence of any of the following events (each event a “Termination Event” and the date on which this Agreement is terminated in accordance herewith, the “Termination Date”):

(a) by the Company, in its sole and absolute discretion, upon prior written notice to Akin in accordance with Section 23 of this Agreement, with respect to all Parties, if:

(i) (A) at any time, a Supporting Holder has breached, in any material respect, any of its representations, warranties, covenants, or obligations under this Agreement, (B) the Company has provided written notice to the Supporting Holder of such breach, and (C) such breach remains outstanding as of the date that is five (5) Business Days after the delivery of such notice to the Supporting Holder, as applicable; provided, that, such termination shall only be effective as against the breaching Supporting Holder;

(ii) at any time, the Company exercises the Fiduciary Out in accordance with the terms herein; or

(iii) at any time the Supporting Holders who are Parties to this Agreement do not hold at least 46% of the aggregate principal amount outstanding of each of the Existing 2027 Notes, and such condition remains uncured for a period of three (3) Business Days after the receipt by the Supporting Holders of written notice from the Company, provided that such period shall be extended to five (5) Business Days in the case of a Transfer in accordance with Section 7(c).

 

20


(b) by a Supporting Holder, solely with respect to such Supporting Holder, if:

(i) (A) the Company has breached, in any material respect, any of its representations, warranties, covenants, or obligations under this Agreement, (B) such terminating Supporting Holder has provided written notice to the Company of such breach, and (C) such breach remains outstanding as of the date that is five (5) Business Days after the delivery of such notice to the Company, as applicable;

(ii) any of the Milestones set forth in Section 2 have not been achieved, extended, or waived by the date identified for completion of such Milestone (as such date may be extended or waived);

(iii) the Company (A) publicly announces its intention not to support the Restructuring Transactions, or (B) files, publicly announces, or executes a definitive written agreement with respect to an Alternative Transaction;

(iv) if, without the prior consent of the Required Supporting Holders, the Company (A) voluntarily commences any case or files any petition seeking bankruptcy, winding up, dissolution, liquidation, administration, moratorium, reorganization or other relief under any federal, state, or foreign bankruptcy, insolvency, administrative receivership or similar law now or hereafter in effect except consistent with this Agreement, (B) consents to the institution of, or fails to contest in a timely and appropriate manner, any involuntary proceeding or petition described above, (C) makes a general assignment or arrangement for the benefit of creditors or (D) takes any corporate action for the purpose of authorizing any of the foregoing; or

(v) the Company exercises the Fiduciary Out in accordance with the terms herein; or

(vi) any Definitive Document does not comply in all material respects with Section 2 hereof.

(c) by the written mutual consent of the Company and the Required Supporting Holders, with respect to all Parties;

(d) by any Party, with respect to all Parties upon prior written notice to counsel to the other Party, if any Governmental Entity, including any regulatory authority or court of competent jurisdiction, issues any final, non-appealable ruling or order that (A) enjoins the consummation of a material portion of the Restructuring Transactions and (B) remains in effect for thirty (30) Business Days after the Company transmits a written notice in detailing any such issuance; provided, that, this termination right shall not apply to or be exercised by a Party that sought or requested such ruling or order in contravention of any obligation or restriction set out in this Agreement;

 

21


(e) by any Party if there is any commencement of an involuntary case against the Company or the filing of an involuntary petition seeking bankruptcy, winding up, dissolution, liquidation, administration, moratorium, reorganization or other relief in respect of the Company, or its debts, or of a substantial part of its assets, under any federal, state, or foreign bankruptcy, insolvency, administrative receivership or similar law now or hereafter in effect (provided that such involuntary proceeding is not dismissed within a period of thirty (30) days after the filing thereof) or if any court grants the relief sought in such involuntary proceeding; provided, that, this termination right may not be exercised by any terminating Party that commenced or filed such case or proceeding in contravention of any obligation set out in this Agreement; and

(f) automatically, as to all Parties, upon the Closing.

Upon the Termination Date, this Agreement shall forthwith become null and void ab initio and of no further force or effect; each Party hereto shall be released from its commitments, undertakings and agreements under or related to this Agreement and any of the Definitive Documents, as applicable; and there shall be no liability or obligation on the part of any Party hereto; provided that termination by a Supporting Holder shall only relieve such Party and this Agreement shall otherwise continue in full force and effect; provided, further, that in no event shall any such termination relieve a Party hereto from (i) liability for its breach or non-performance of its obligations hereunder prior to such Termination Date, notwithstanding any termination of this Agreement by any other Party and (ii) obligations under this Agreement which expressly survive any such termination pursuant to Section 21; provided, further, that notwithstanding anything to the contrary herein, any Termination Event may be waived in accordance with the procedures established by Section 17, in which case the Termination Event so waived shall be deemed not to have occurred, this Agreement shall be deemed to continue in full force and effect, and the rights and obligations of the Parties hereto shall be restored, subject to any modification set forth in such waiver.

Subject to Section 3(b) herein, the rights under this Agreement of any Supporting Holder shall terminate upon a Transfer made in contravention to the terms contained in Section 7 hereof.

Notwithstanding the foregoing or anything herein to the contrary, no Party may exercise any of its respective termination rights as set forth in this Section 8 if such Party has failed to perform or comply in all material respects with the terms and conditions of this Agreement unless such failure to perform or comply arises as a result of another Party’s actions or inactions or would not otherwise give rise to a Termination Event in favor of the other Party.

9. Representations and Warranties of the Supporting Holders.

Each Supporting Holder severally, and neither jointly nor jointly and severally, represents and warrants that, during the Support Period (except as otherwise provided below):

(a) It (i) is, as of the Support Effective Date or, if after the Support Effective Date, the date upon which it delivers its executed signature page to this Agreement, the beneficial owner (including pursuant to any swap or derivative transaction) or is the nominee, investment manager, or advisor for beneficial holders of the face amount of the

 

22


Existing 2027 Notes, or is the nominee, investment manager or advisor for beneficial owners of or discretionary accounts holding the Existing 2027 Notes, as reflected in such Party’s signature block to this Agreement and (ii) does not beneficially own any other Existing 2027 Notes. Each Supporting Holder is a Supporting Holder with respect to all Existing 2027 Notes that it owns or for which it is the nominee, investment manager, or advisor for beneficial holders of or discretionary accounts holding the Existing 2027 Notes other than as set forth herein.

(b) It has the full power and authority to act on behalf of, vote and consent to matters concerning the Existing 2027 Notes reflected in such Party’s signature block to this Agreement, except those Existing 2027 Notes (i) indicated as “unsettled” on such Party’s signature block to this Agreement due to such Existing 2027 Notes having been purchased by such Supporting Holder in trades that have not settled as of the date such Supporting Holder becomes a Supporting Holder or (ii) beneficially held by managed account clients that have reserved voting authority on such matters.

(c) The Existing 2027 Notes reflected in such Party’s signature block to this Agreement are not, as of the date of this Agreement, subject to any pledge, lien, security interest, charge, claim, equity, option, proxy, voting restriction, right of first refusal, or other limitation on disposition, transfer, or encumbrances of any kind, that could reasonably be expected to adversely affect in any way such Party’s ability to perform any of its obligations under this Agreement at the time such obligations are required to be performed.

(d) Its execution and delivery of this Agreement and the Definitive Documents, the performance of its obligations hereunder and thereunder and the consummation of the Restructuring Transactions have been duly authorized by all necessary corporate action on the part of such Supporting Holder, and no other proceedings on the part of such Supporting Holder and no other votes, consents or approvals or actions or proceedings by or on behalf of such Supporting Holder are necessary to effectuate the Restructuring Transactions contemplated by, and perform its obligations under, this Agreement and the Definitive Documents.

(e) As of the date hereof (or such later date that it delivers its signature page hereto to the other Parties), it has no actual knowledge of any event that, due to any fiduciary or similar duty to any other person or entity, would prevent it from taking any action required of it under this Agreement or the Definitive Documents.

(f) The execution, delivery, and performance by it of this Agreement and the Definitive Documents and the consummation of the Restructuring Transactions does not, and shall not, require any registration or filing with, consent or approval of, or notice to, or other action to, with or by, any federal, state, or other governmental authority or regulatory body.

 

23


(g) (i) It is either (A) an “accredited investor” within the meaning of Rule 501(a) of Regulation D promulgated under the Securities Act, (B) a “qualified institutional buyer” as defined in Rule 144A under the Securities Act, or (C) a non-U.S. person under Regulation S promulgated under the Securities Act, and (ii) any securities of the Company acquired by such Supporting Noteholder in connection with the Restructuring Transactions shall have been acquired for investment and not with a view to distribution or resale in violation of the Securities Act.

(h) It is validly existing and in good standing under the laws of the jurisdiction of its organization, and this Agreement is a legal, valid, and binding obligation of such Supporting Holder, enforceable against it in accordance with its terms, except as enforcement may be limited by applicable laws relating to or limiting creditors’ rights generally or by equitable principles relating to enforceability, including remedies of specific performance and injunctive and other forms of equitable relief.

(i) It has all requisite corporate or other power and authority to enter into, execute, and deliver this Agreement and to effectuate the Restructuring Transactions contemplated by, and perform its respective obligations under, this Agreement.

(j) The execution, delivery, and performance of this Agreement and the Definitive Documents and the consummation of the Restructuring Transactions does not and shall not: (i) violate any provision of law, rules, or regulations applicable to it or any of its subsidiaries in any material respect; (ii) violate its certificate of incorporation, bylaws, or other organizational documents; or (iii) conflict with, result in a breach of, or constitute (with due notice or lapse of time or both) a default under any contractual obligation to which it is a party, which conflict, breach, or default, would have a material and adverse effect on the Restructuring Transactions.

(k) By reason of its business and financial experience, each Supporting Holder has such knowledge, sophistication, and experience in making similar investments and in business and financial matters generally so as to be capable of evaluating the merits and risks of participating in the Restructuring Transactions, is able to bear the economic risk of such investment and, at the present time, would be able to afford a complete loss of such investment. Each Supporting Holder has been furnished with materials relating to the business, finances and operations of the Company and relating to the Restructuring Transactions that have been requested by the Supporting Holder. Each Supporting Holder has been afforded the opportunity to ask questions of the Company and their representatives. Each Supporting Holder understands and acknowledges that its participation in the Restructuring Transactions involves a high degree of risk and uncertainty. Each Supporting Holder has sought such accounting, legal and tax advice as it has considered necessary to make an informed investment decision with respect to its participation in the Restructuring Transactions.

(l) It has not formed a “group” (within the meaning of Section 13(d)(3) of the Exchange Act) with any other Supporting Holder(s) (other than, for the avoidance of doubt, any Supporting Holders that are Affiliates of such Supporting Holder) and has no current intention of doing so.

(m) It has no current intention to solicit proxies or consents prior to the Company’s first shareholder meeting to elect Class I directors of the Company.

 

24


10. Representations and Warranties of the Company.

The Company represents and warrants that during the Support Period (except as otherwise provided below):

(a) The execution and delivery of this Agreement and the Definitive Documents by it, the performance of its obligations hereunder and the consummation of the Restructuring Transactions have been duly authorized by all necessary corporate action on the part of the Company, including the approval by its board of directors or any such similar governing body of the Restructuring Transactions, and no other proceedings on the part of the Company and no other votes, consents or approvals or actions or proceedings by or on behalf of the Company, are necessary to effectuate the Restructuring Transactions contemplated by, and perform its obligations under, this Agreement and the Definitive Documents.

(b) As of the date hereof, it has no actual knowledge of any event that, due to any fiduciary or similar duty to any other person or entity, would prevent it from taking any action required of it under this Agreement or the Definitive Documents.

(c) It is validly existing and in good standing under the laws of the jurisdiction of its organization, and this Agreement is a legal, valid, and binding obligation of the Company, enforceable against it in accordance with its terms, except as enforcement may be limited by applicable laws relating to or limiting creditors’ rights generally or by equitable principles relating to enforceability, including remedies of specific performance and injunctive and other forms of equitable relief.

(d) It has all requisite corporate or other power and authority to enter into, execute, and deliver this Agreement and the Definitive Documents, to consummate the Restructuring Transactions, and to perform its respective obligations under this Agreement and the Definitive Documents.

(e) Assuming the representations made by the Supporting Holders in this Agreement and in the Exchange Offer Materials are true and accurate, (i) the offer and issuance by the Company of the New Second Lien Convertible Notes, the New Equity and the Conversion Shares in conformity with this Agreement, the Exchange Offer Materials and the New Second Lien Convertible Notes Indenture (as applicable) constitute transactions exempt from registration under the Securities Act and (ii) the New Second Lien Convertible Notes, the New Equity and the Conversion Shares are not required to bear a restrictive legend.

(f) The execution, delivery, and performance of this Agreement and the Definitive Documents and the consummation of the Restructuring Transactions does not and shall not: (i) violate any provision of law, rules, or regulations applicable to it in any material respect; (ii) violate its certificate of incorporation, bylaws, or other organizational documents; or (iii) conflict with, result in a breach of, or constitute (with due notice or lapse of time or both) a default under any contractual obligation to which it is a party, which conflict, breach, or default, would have a material and adverse effect on the Restructuring Transactions.

 

25


(g) No Event of Default has occurred and is continuing under the Existing 2027 Notes Indenture.

(h) The Company (i) is not, and will not be immediately following the issuance of the New Second Lien Convertible Notes and New Equity, a “person of a country of concern”, as such term is defined in 31 C.F.R. § 850.221 (a “Covered Person”) and (ii) does not, and did not as of its most recently completed fiscal year, directly or indirectly, derive more than 50% of its revenue or net income, nor incur more than 50% of its capital expenses or operational expenses, in each case on an annual basis, from one or more Covered Persons, individually or in the aggregate.

11. Good Faith Cooperation; Further Assurances.

Subject to the other terms of this Agreement, the Parties agree to execute and deliver such other instruments and perform such acts, in addition to the matters herein specified, as may be reasonably appropriate or necessary from time to time, to effectuate the Restructuring Transactions, as applicable. During the Support Period, the Company hereby covenants and agrees to cooperate in good faith with all information requests reasonably made by any Supporting Holder or advisors to the Supporting Holders that are necessary or advisable for any Supporting Holder to evaluate or consummate the Restructuring Transactions, and further covenants and agrees to deliver such information requested on a timely basis.

12. Effectiveness.

This Agreement shall be effective and binding upon the Company and the undersigned Supporting Holders as of the date on which: (a) the Company shall have executed and delivered counterpart signature pages of this Agreement to counsel to the Supporting Holders, (b) Supporting Holders holding at least 46% by principal face amount of the outstanding Existing 2027 Notes shall have executed and delivered counterpart signature pages of this Agreement to counsel to the Company, and (c) the Company shall have paid 100% of all accrued and unpaid Supporting Holders’ Fees and Expenses through the Support Effective Date to Akin, Houlihan and any local counsel to the Ad Hoc Noteholder Group, for which an invoice has been received by the Company on or before two (2) Business Days prior to the Support Effective Date, including for the avoidance of doubt, reasonable estimates of Supporting Holders’ Fees and Expenses through the Support Effective Date (the “Support Effective Date”).

13. Entire Agreement.

This Agreement, including all exhibits hereto, constitutes the entire agreement of the Parties with respect to the subject matter of this Agreement, and supersedes all other prior negotiations, agreements, and understandings, whether written or oral, among the Parties with respect to the subject matter of this Agreement, other than the Confidentiality Agreements, which remain unaltered.

 

26


14. Waiver.

If the Restructuring Transactions contemplated herein are not consummated, or if this Agreement is terminated under Section 8 hereof, nothing shall be construed herein as a waiver by any Party of any or all of such Party’s rights and the Parties expressly reserve any and all of their respective rights.

15. FRE 408.

Pursuant to Federal Rule of Evidence 408 and any other applicable rules of evidence in any applicable jurisdiction, this Agreement and all negotiations relating hereto shall not be admissible into evidence in any proceeding other than a proceeding to enforce its terms.

16. Counterparts.

This Agreement may be executed in one or more counterparts, each of which, when so executed, shall constitute the same instrument and the counterparts may be delivered by facsimile transmission or by electronic mail in portable document format (.pdf).

17. Amendments; Waiver.

Except as otherwise provided herein, no provision of this Agreement may be modified, waived, amended, restated, or supplemented, without the prior written consent of the Company and the Required Supporting Holders; provided, however, that if the proposed modification, amendment, waiver, or supplement has a material, disproportionate, and adverse effect on any of the Supporting Holders other than the Required Supporting Holders (as compared to the Required Supporting Holders), then the consent of each such affected Supporting Holder shall also be required to effectuate such modification, amendment, waiver or supplement. Any consent required to be provided pursuant to this Section 17 may be delivered by email pursuant to the notice provision herein. Any proposed modification, amendment, waiver, or supplement that does not comply with this Section 17 shall be ineffective and void ab initio.

18. Headings.

The headings of the sections, paragraphs, and subsections of this Agreement are inserted for convenience only and shall not affect the interpretation hereof.

19. Relationship Among Parties.

(a) It is understood and agreed that no Supporting Holder owes a fiduciary duty or duty of trust or confidence of any kind or form to any other Party. In this regard, it is understood and agreed that any Supporting Holder may trade in claims and interests of the Company without the consent of the Company or any other Supporting Holder, subject to the applicable securities laws and the terms of this Agreement. No Supporting Holder shall have any responsibility for any such trading by any other entity by virtue of this Agreement. No prior history, pattern, or practice of sharing confidences among or between the Parties shall in any way affect or negate this understanding and agreement. No Supporting Holder shall, as a result of its entering into and performing its obligations under this Agreement,

 

27


be deemed to be a part of a “group” (as that term is used in Rule 13d-5 under the Exchange Act) with any other Party. For the avoidance of doubt, no action taken by a Supporting Holder pursuant to this Agreement shall be deemed to constitute or to create a presumption by any of the Parties that the Supporting Holders are in any way acting in concert or as such a “group.”

(b) All obligations in this Agreement are several and not joint. All rights under this Agreement are separately granted by each Supporting Holder to the Company, and the decision to commit to execute this Agreement by each Supporting Holder has been made independently of any other Supporting Holder.

20. Acknowledgments; Obligations Several.

Notwithstanding that this Agreement is being executed by multiple Supporting Holders, the obligations of the Supporting Holders under this Agreement are several and neither joint nor joint and several. No Supporting Holder shall be responsible in any way for the performance of the obligations or any breach of any other Supporting Holder under this Agreement, and nothing contained herein, and no action taken by any Supporting Holder pursuant hereto shall be deemed to constitute the Supporting Holder as a partnership, an association or joint venture of any kind, or create a presumption that the Supporting Holder is in any way acting other than in its individual capacities. None of the Supporting Holders shall have any fiduciary duty or other duties or responsibilities in any kind or form to each other, the Company or any of the Company’s other lenders, noteholders or stakeholders as a result of this Agreement or the transactions contemplated hereby. Each Supporting Holder acknowledges that no other Supporting Holder shall be acting as agent of such Supporting Holder in connection with monitoring such Supporting Holder’s investment or enforcing its rights under this Agreement, the Definitive Documents, or any other documents to be entered into in connection with the consummation of the Restructuring Transactions. No securities of the Company are being offered or sold hereby and this Agreement neither constitutes an offer to sell nor a solicitation of an offer to buy any securities of the Company.

21. Survival.

Notwithstanding the termination of this Agreement in accordance with its terms, the agreements and obligations of the Parties in Section 4(a)(v), Section 8, and Sections 11 through 26 (inclusive), (and any definitions or interpretative provisions used therein but defined elsewhere in this Agreement) shall survive such termination and shall continue in full force and effect for the benefit of the Parties in accordance with the terms hereof.

22. Governing Law; Chosen Forum; Waiver of Jury Trial.

(a) This Agreement shall be governed by, and construed in accordance with, the laws of the State of New York.

(b) Each Party hereto agrees that it shall bring any action or proceeding in respect of any claim arising out of or related to this Agreement in a New York state or federal court sitting in the Chosen Court, and solely in connection with claims arising under this Agreement: (i) irrevocably submits to the exclusive jurisdiction and the authority of

 

28


the Chosen Court; (ii) waives any objection to laying venue in any such action or proceeding in the Chosen Court; and (iii) waives any objection that the Chosen Court is an inconvenient forum, does not have jurisdiction over any Party hereto, or lacks the constitutional authority to enter final orders in connection with such action or proceeding.

(c) Each Party hereby waives, to the fullest extent permitted by applicable law, any right it may have to a trial by jury in any legal proceeding arising out of, or relating to, this Agreement or the transactions contemplated hereby (whether based on contract, tort, or any other theory). Each Party (i) certifies that no representative, agent, or attorney of any other Party has represented, expressly or otherwise, that such other Party would not, in the event of litigation, seek to enforce the foregoing waiver and (ii) acknowledges that it and the other Parties have been induced to enter into this Agreement by, among other things, the mutual waivers and certifications in this Section 22.

23. Notices.

All notices, requests and other communications hereunder must be in writing and shall be deemed to have been duly given only if delivered personally or by electronic mail transmission, facsimile or first class mail to the Parties at the following addresses or email addresses:

(a) If to the Company:

Beyond Meat, Inc.

888 N. Douglas St., Suite 100

El Segundo CA, 90245

Attention: [***]

with copies to (which shall not constitute notice):

Latham & Watkins LLP

1271 Avenue of the Americas

New York, New York 10020

Attn:  Greg Rodgers (greg.rodgers@lw.com)

  Candace Arthur (candace.arthur@lw.com)

(b) If to the Supporting Holders:

To the addresses set forth on the signature pages hereto

with copies to (which shall not constitute notice):

Akin Gump Strauss Hauer & Feld LLP

One Bryant Park

New York, NY 10036

Attn:  Jason Rubin (jrubin@akin.com)

  Mike Stamer (mstamer@akingump.com)

  Stephen Kuhn (skuhn@akingump.com)

 

29


24. Successors and Assigns; No Third-Party Beneficiaries.

(a) The terms and provisions of this Agreement are intended solely for the benefit of the Parties and this Agreement is intended to bind and inure to the benefit of their respective successors and permitted assigns.

(b) Except as set forth in Section 5 of this Agreement with respect to the Mutual Release, it is not the intention of the Parties to confer third-party beneficiary rights upon any other Person, and the rights or obligations of any Party under this Agreement may not be assigned, delegated, or transferred to any other person or entity except as otherwise expressly permitted herein.

25. Interpretation and Rules of Construction; Severability.

This Agreement is the product of negotiations among the Parties and in the enforcement or interpretation hereof is to be interpreted in a neutral manner, and any presumption with regard to interpretation for or against any Party by reason of that Party having drafted or caused to be drafted this Agreement, or any portion hereof, shall not be effective in regard to the interpretation hereof. The Parties were each represented by counsel during the negotiations and drafting of this Agreement. If any provision of this Agreement shall be held by a court of competent jurisdiction to be illegal, invalid, or unenforceable, the remaining provisions shall remain in full force and effect if the essential terms and conditions of this Agreement for each Party remain valid, binding, and enforceable. In this Agreement, unless the context otherwise requires (a) “include,” “includes” and “including” are deemed to be followed by “without limitation” whether or not they are in fact followed by such words, (b) references in this Agreement to “writing” or comparable expressions include a reference to a written document transmitted by means of electronic mail in portable document format (.pdf), facsimile transmission or comparable means of communication, (c) words expressed in the singular number shall include the plural and vice versa; words expressed in the masculine shall include the feminine and neuter gender and vice versa, (d) the words “hereof,” “herein,” “hereto” and “hereunder,” and words of similar import, when used in this Agreement, shall refer to this Agreement as a whole, including all exhibits attached hereto, and not to any provision of this Agreement, (e) the term this “Agreement” shall be construed as a reference to this Agreement, including the exhibits attached hereto, as the same may have been, or may from time to time be, amended, restated, amended and restated, modified, varied, novated or supplemented in accordance with its terms, and (f) time is of the essence in the performance of the obligations of each of the Parties. In the event of a conflict between this Agreement and any Definitive Document, then, solely as between the Parties, this Agreement shall control.

26. Publicity of the Ad Hoc Noteholder Group.

Other than to the extent required by applicable Law and regulation or by any governmental or regulatory authority, no Party shall disclose to any Person (including, for the avoidance of doubt, any other Supporting Holder), other than legal, accounting, financial, and other advisors of such Party, Akin, Houlihan and legal, accounting, financial and other advisors to the Company (who are under obligations of confidentiality to the Company with respect to such disclosure, and whose compliance with such obligations the Company shall be responsible for), the principal amount or percentage of the Existing 2027 Notes Claims held by any member of the Ad Hoc Noteholder

 

30


Group or any of its respective subsidiaries (including, for the avoidance of doubt, any Existing 2027 Notes Claims acquired pursuant to any Transfer) or the signature page of such member of the Ad Hoc Noteholder Group; provided, however, that the Company shall be permitted to disclose at any time the aggregate principal amount of, and aggregate percentage of, any class of the Existing 2027 Notes Claims held by the Ad Hoc Noteholder Group collectively. Notwithstanding the foregoing, the members of the Ad Hoc Noteholder Group hereby consent to the disclosure of the execution, terms, and contents of this Agreement by the Company in the Definitive Documents to the extent required by Law or regulation; provided, however, that (i) if the Company determines that it is required to attach a copy of this Agreement or Transfer Agreement to any Definitive Documents or any other filing or similar document relating to the Transactions set forth herein, to the extent permissible under applicable Law, it shall redact any reference to or concerning a specific Ad Hoc Noteholder Group member’s name or holdings of Existing 2027 Notes Claims and Ad Hoc Noteholder Group member’s signature page and (ii) if disclosure of additional information of any member of the Ad Hoc Noteholder Group is required by applicable Law, advance notice of the intent to disclose, if permitted by applicable Law, shall be given by the disclosing Party to each member of the Ad Hoc Noteholder Group (who shall have the right to seek a protective order prior to disclosure). The Company further agrees that such information shall be redacted from “closing sets” or other representations of the fully executed Agreement or Transfer Agreement. In addition, the Company shall not disclose any Ad Hoc Noteholder Group member’s name publicly (other than by virtue of the inclusion of such Ad Hoc Noteholder Group member as a consenting signatory to any applicable Definitive Document as required by applicable Law and regulation or by any governmental or regulatory authority), including in any press release, without such Ad Hoc Noteholder Group member’s consent. The Company shall submit drafts to Akin of any press releases, public announcements or other communications with any news media, in each case, to be made by the Company relating to this Agreement or the Restructuring Transactions and any amendments thereof (each, an “Announcement”) at least forty-eight (48) hours before the public disclosure of any such Announcement, and shall afford Akin a reasonable opportunity under the circumstances to comment on such Announcement and shall consider any such comments in good faith.

[Remainder of page intentionally left blank.]

 

31


IN WITNESS WHEREOF, the Parties hereto have caused this Agreement to be executed and delivered by their respective duly authorized officers, solely in their respective capacity as officers of the undersigned and not in any other capacity, as of the date first set forth above.

[Signature pages follow]

 

32


COMPANY

BEYOND MEAT, INC.

/s/ Lubi Kutua

Name: Lubi Kutua

Title: Chief Financial Officer and Treasurer


Schedule A

 

Nominee

   Independent    Class   Committee(s)
Alexandre Zyngier    Yes    Class I (2026)   Audit
Raphael Wallander    Yes    Class III (2028)   Compensation
EX-10.2

Exhibit 10.2

FORM OF VOTING AND SUPPORT AGREEMENT

This VOTING AND SUPPORT AGREEMENT (this “Agreement”), dated as of September 29, 2025, is entered into by and between Beyond Meat, Inc., a Delaware corporation (the “Company”), and the undersigned (the “Noteholder”). The Noteholder is a beneficial owner or investment advisor, sub-advisor or manager of funds and/or accounts that are holders or beneficial holders of the Company’s 0% convertible senior notes due 2027 (the “Existing 2027 Notes”) issued pursuant to that certain Indenture, dated as of March 5, 2021, between the Company, as issuer, and U.S. Bank National Association, as trustee. Each of the Company and the Noteholder are referred to herein individually as a “Party” and collectively as the “Parties”.

WHEREAS, the Company will be conducting an exchange of the Existing 2027 Notes for (i) new second lien convertible notes of the Company due 2030 (the “New Second Lien Convertible Notes”) and (ii) new common equity of the Company (the “New Equity”) (collectively, the “Notes Exchange”);

WHEREAS, as of the date hereof, the Noteholder is the record and/or beneficial owner (as defined in Rule 13d-3 under the Exchange Act) of the principal amount of Existing 2027 Notes as set forth on the Noteholder’s signature page to this Agreement;

WHEREAS, as of the date New Equity is issued to the Noteholder upon consummation (whether in connection with the early settlement, if any, or final settlement) of the Notes Exchange (the “Closing”), the Noteholder will be the record and/or beneficial owner (as defined in Rule 13d-3 under the Exchange Act) of approximately 283.6438 shares of New Equity per $1,000 principal amount of Existing 2027 Notes held by the Noteholder immediately prior to the Closing (the “Subject Shares”);

WHEREAS, concurrently with the launch of the Notes Exchange, the Company intends to file a proxy statement relating to the proposals set forth on Schedule A hereto (the “Proposals”, and such proxy statement, the “Proxy Statement”); and

WHEREAS, the Noteholder has agreed to vote its Subject Shares in favor of the Proposals at any special or annual meeting of the Company at which a vote is held on the Proposals (each, a “Stockholder Meeting”) through and including the Company’s 2026 annual meeting.

NOW, THEREFORE, in consideration of the foregoing and the respective representations, warranties, covenants and agreements set forth below and for other good and valuable consideration, the receipt and sufficiency of which are hereby acknowledged, the Parties, intending to be legally bound, do hereby agree as follows:

ARTICLE I

AGREEMENTS OF THE NOTEHOLDER

1.1 Agreement to Vote. Subject to the terms of this Agreement, the Noteholder hereby agrees that, at any Stockholder Meeting, including any adjournment or postponement thereof, the Noteholder shall (or shall cause the holder of record of its Subject Shares to), in each case to the fullest extent that the Noteholder’s Subject Shares are entitled to vote thereon: (a) appear at each such meeting or otherwise cause all such Subject Shares to be counted as present thereat for


purposes of determining a quorum and (b) be present (in person or by proxy) and vote (or cause to be voted) all of its Subject Shares in favor of the Proposals. Except as set forth in this Section 1.1, nothing in this Agreement shall limit the right of the Noteholder to vote in favor of, against or abstain with respect to any matter presented to the stockholders of the Company, including for the avoidance of doubt, any proposals in the Proxy Statement that are not consistent in all material respects with the Proposals as set forth in Schedule A hereto.

1.2 Transfer Restrictions. From and after the Closing and until 5:00 p.m., New York City time on the date that is the earlier of (i) the record date for the first Stockholder Meeting proposed to be held following the Notes Exchange (the “Record Date”) and (ii) the date that is three (3) business days following the Closing (the “Lock-up Period”), the Noteholder agrees with the Company that it shall not Transfer (as defined below) any of the Noteholder’s Subject Shares, or enter into any contract, option, or other agreement with respect to a Transfer of any of the Noteholder’s Subject Shares, or the Noteholder’s voting interest therein, and the Noteholder acknowledges that, with exception of the Freely Tradeable Shares (as defined below), the New Equity is expected to be issued into a Contra CUSIP that restricts the trading of such security for the duration of the Lock-up Period; provided the Noteholder may Transfer up to an amount of shares (the “Freely Tradeable Shares”) equal to the following percentage of the Subject Shares received by the Noteholder in the Notes Exchange:

 

LOGO

where:

 

  P  =

the percentage of the Noteholder’s Subject Shares that may be Transferred pursuant to this proviso;

 

  X =

the number of shares of New Equity, in the aggregate, received by all holders of Existing Notes that have participated in the Notes Exchange as of the Closing and for which enforceable voting agreements are in place at the time of the Closing; and

 

  Y =

the number of shares of the Company outstanding at the Closing, after giving effect to the consummation of the Notes Exchange.

“Transfer” means, with respect to any security, directly or indirectly, to transfer, sell, exchange, assign, or convey legal or beneficial ownership interest in (including the right or power to vote), or otherwise dispose of (whether by sale, liquidation, dissolution, dividend, distribution or otherwise) such security; provided, however, that any customary custodian arrangement or account at a prime broker, bank or broker-dealer at which a Noteholder maintains an account in the ordinary course of business including Subject Shares where such prime broker, bank or broker-dealer holds a security interest, pledge or other encumbrance over securities held in such account generally shall not be deemed a “Transfer” for any purposes hereunder so long as, regardless of such arrangement, the Noteholder retains at all times the right and ability to vote the Subject Shares in favor of the Proposals.

 

2


ARTICLE II

AGREEMENTS OF THE COMPANY

2.1 Proxy Statement. The Company hereby agrees to set the Record Date, and file the definitive Proxy Statement, as soon as practicable following the later to occur of (i) the Closing and (ii) the Securities and Exchange Commission completing its review, if any, of the Proxy Statement.

2.2 Reverse Stock Split. The Company hereby agrees (i) not to effect the reverse stock split described in Item 4 of the Proposals as set forth in Schedule A hereto (the “Reverse Stock Split”) for a period of 120 days after the Closing (the last day of such period, the “Early Release Date”) and (ii) not to effect the Reverse Stock Split during the period beginning on the Early Release Date and ending 180 days after the Closing (the “Final Release Date”) unless (A) the Company has received a notice from Nasdaq of failure to meet the continued listing requirement for minimum bid price at any time prior to such Reverse Stock Split and has not subsequently cured such deficiency to Nasdaq’s satisfaction or (B) its common equity securities fail to meet the Nasdaq minimum bid price of at least $1.00 per share for any fifteen (15) consecutive business days in the period commencing fifteen (15) business days prior to the Early Release Date and ending on the Final Release Date.

ARTICLE III

REPRESENTATIONS AND WARRANTIES OF THE NOTEHOLDER

The Noteholder represents and warrants, on its own account with respect to the Existing 2027 Notes and the Subject Shares beneficially owned by the Noteholder, to the Company that:

3.1 Authorization; Binding Agreement. The Noteholder has full legal capacity and authority to enter into this Agreement and carry out its obligations hereunder. If the Noteholder is not a natural person, (a) the Noteholder is duly organized, validly existing and in good standing under the laws of its jurisdiction of organization, and (b) the execution and delivery of this Agreement by the Noteholder has been duly and validly authorized by all necessary entity action on the part of the Noteholder, and no other entity proceedings on the part of the Noteholder are necessary to authorize this Agreement or to perform the Noteholder’s obligations hereunder. This Agreement has been duly and validly executed and delivered by the Noteholder and, assuming due authorization, execution and delivery by the other Parties, constitutes a valid and binding agreement of the Noteholder enforceable against it in accordance with its terms, except as enforcement may be limited by applicable laws relating to or limiting creditors’ rights generally or by equitable principles relating to enforceability, including remedies of specific performance and injunctive and other forms of equitable relief.

3.2 Ownership of Existing 2027 Notes. The Noteholder (i) is, as of the date hereof, the record and/or beneficial owner (as defined in Rule 13d-3 under the Exchange Act) of all of such Noteholder’s Existing 2027 Notes and (ii) will be, following the settlement of the Notes Exchange, the record and/or beneficial owner (as defined in Rule 13d-3 under the Exchange Act) of all of the Subject Shares received by the Noteholder in the Notes Exchange, in each case, free and clear of any encumbrance or lien thereon, except for encumbrances or liens in favor of a prime broker, bank or broker-dealer in connection with any customary custodian arrangement or account at such prime broker, bank or broker-dealer in which a Noteholder maintains an account in the ordinary course of business.

 

3


3.3 Voting Power. The Noteholder will, on the Record Date, have full voting power with respect to all of the Subject Shares beneficially owned by such Noteholder, and full power of disposition, full power to issue instructions with respect to the matters set forth herein and full power to agree to all of the matters set forth in this Agreement, in each case with respect to all of its Subject Shares.

ARTICLE IV

REPRESENTATIONS AND WARRANTIES OF THE COMPANY

The Company represents and warrants to the Noteholder that:

4.1 Authorization; Binding Agreement. The Company has full legal capacity and authority to enter into this Agreement and carry out its obligations hereunder. The Company is a legal entity, duly organized, validly existing and in good standing under the laws of the State of Delaware. The execution and delivery of this Agreement by the Company has been duly and validly authorized by all necessary corporate action on the part of the Company, and no other corporate proceedings on the part of the Company are necessary to authorize this Agreement or to perform its obligations hereunder. This Agreement has been duly and validly executed and delivered by the Company and, assuming due authorization, execution and delivery by the other Parties, constitutes a valid and binding agreement of the Company enforceable against it in accordance with its terms, except as enforcement may be limited by applicable laws relating to or limiting creditors’ rights generally or by equitable principles relating to enforceability, including remedies of specific performance and injunctive and other forms of equitable relief.

ARTICLE V

MISCELLANEOUS

5.1 Adjustments. Any shares of capital stock or other voting equity securities of the Company that are issued to the Noteholder, or that the Noteholder acquires record or beneficial ownership (as defined in Rule 13d-3 under the Exchange Act) of, during the Term, whether pursuant to purchase, exercise, exchange (including in connection with the Transactions) or conversion of, or other transaction involving any and all options, rights or other securities, shall be subject to the terms and conditions of this Agreement to the same extent as if they comprised the Subject Shares as of the date hereof (but, for the avoidance of doubt, shall not be subject to the limitations on Transfer set forth in Section 1.2). In the event of any stock split, stock dividend, merger, reorganization, recapitalization, reclassification, combination, exchange of shares or the like of the capital stock of the Company affecting any Subject Shares, the terms of this Agreement shall apply to the resulting securities and the term “Subject Shares” shall be deemed to refer to and include such securities.

 

4


5.2 Notices. Any notice or other communication required or permitted to be delivered to any Party under this Agreement shall be in writing and shall be deemed properly delivered, given and received (a) upon receipt when delivered by hand, (ii) one (1) business day after being sent by commercial overnight courier service, or (iii) upon transmission during normal business hours (and if not, the next business day) if sent via email with confirmation of receipt (other than automatic confirmation of receipt); provided that, in each case, the notice or other communication is sent to the physical address or email address set forth beneath the name of such Party as follows (or to such other physical address or email address as such Party shall have specified in a written notice given to the other Parties):

if to the Company:

Beyond Meat, Inc.

888 N. Douglas St., Suite 100

El Segundo CA, 90245

Attn: [***]

with a copy to (which shall not constitute notice):

Latham & Watkins LLP

1271 Avenue of the Americas

New York, NY 10020

Attn:  Greg Rodgers (greg.rodgers@lw.com)

 Candace Arthur (candace.arthur@lw.com)

if to a Noteholder, to such Noteholder’s address or email address set forth across from such Noteholder’s name on the signature pages hereto,

with a copy to (which shall not constitute notice):

Akin Gump Strauss Hauer & Feld LLP

One Bryant Park

New York, NY 10036

Attn:  Jason Rubin (jrubin@akin.com)

 Mike Stamer (mstamer@akingump.com)

 Stephen Kuhn (skuhn@akingump.com)

5.3 Termination. This Agreement shall terminate automatically upon the earlier of: (a) the termination, withdrawal and abandonment by the Company of the Notes Exchange prior to the Closing, (b) the date that all of the Proposals have been approved at a Stockholder Meeting, and (c) the date following the date of the Company’s 2026 annual meeting, without any notice or other action by any Person and (d) June 19, 2026; provided the Company’s obligations in Section 2.2 shall survive until the date that is 180 days from the date of Closing. The period from the date hereof until the termination of this Agreement pursuant to this Section 5.3 shall be referred to as the “Term”. For the avoidance of doubt, the Noteholder’s obligations under this Agreement are contingent upon the occurrence of the Closing, and if the Notes Exchange is terminated without the Closing having occurred, this Agreement shall be null and void in all respects and of no further force or effect without any action required by the parties hereto, in which event, no restrictions contained herein shall be applicable to any stock, Existing 2027 Notes or other equity interests of any entities presently owned or thereafter acquired by any Noteholder whatsoever. Nothing in this Section 5.3 and no termination of this Agreement shall relieve or otherwise limit any party of liability for any breach of this Agreement occurring prior to such termination.

 

5


5.4 Severability. If any provision or provisions of this Agreement is or are held to be invalid, illegal or unenforceable for any reason whatsoever: (a) the validity, legality and enforceability of the remaining provisions of this Agreement (including, without limitation, each portion of any section of this Agreement containing any such provision held to be invalid, illegal or unenforceable, that is not itself invalid, illegal or unenforceable) will not in any way be affected or impaired thereby and will remain enforceable to the fullest extent permitted by applicable law; (b) such provision or provisions will be deemed reformed to the extent necessary to conform to applicable law and to give the maximum effect to the intent of the parties hereto; and (c) to the fullest extent permitted by applicable law, the provisions of this Agreement (including, without limitation, each portion of any section of this Agreement containing any such provision held to be invalid, illegal or unenforceable, that is not itself invalid, illegal or unenforceable) will be construed so as to give effect to the intent manifested thereby.

5.5 Entire Agreement; Counterparts. This Agreement constitutes the entire agreement with respect to the Noteholders obligations and supersedes all prior and concurrent agreements and understandings, both written and oral, among or between any of the Parties, with respect to the subject matter hereof. This Agreement may be executed in several counterparts, each of which shall be deemed an original and all of which shall constitute one and the same instrument. The exchange of a fully executed Agreement (in counterparts or otherwise) by PDF shall be sufficient to bind the Parties to the terms and conditions of this Agreement.

5.6 Parties in Interest. This Agreement shall be binding upon and inure solely to the benefit of each Party and their respective successors and permitted assigns, and nothing in this Agreement, express or implied, is intended to or shall confer upon any other person any right, benefit or remedy of any nature whatsoever under or by reason of this Agreement.

5.7 Specific Performance. The Parties agree that irreparable damage for which monetary damages, even if available, would not be an adequate remedy, would occur in the event that any Party does not perform its obligations under the provisions of this Agreement in accordance with its terms or otherwise breaches such provisions. Subject to the following sentence, during the Term, the Parties shall be entitled to an injunction or injunctions, specific performance, or other non-monetary equitable relief, to prevent breaches of this Agreement and to enforce specifically the terms and provisions hereof in a New York state or federal court sitting in the United States District Court for the Southern District of New York or any New York state court sitting in the Borough of Manhattan, New York, New York (the “Chosen Courts”) without proof of damages or otherwise, this being in addition to any other remedy to which they are entitled under this Agreement. No Party shall oppose the granting of an injunction, specific performance, or other equitable relief on the basis that the other Parties have an adequate remedy at law or that an award of specific performance is unenforceable, invalid or not an appropriate remedy for any reason at law or equity. Any Party seeking any injunction or other equitable relief to prevent any breach of this Agreement or to enforce specifically the terms and provisions of this Agreement in accordance with this Section 4.10 shall not be required to provide any bond or other security in connection with any such order or injunction.

 

6


5.8 FRE 408. Pursuant to Federal Rule of Evidence 408 and any other applicable rules of evidence in any applicable jurisdiction, this Agreement and all negotiations relating hereto shall not be admissible into evidence in any proceeding other than a proceeding to enforce its terms.

5.9 Governing Law. This Agreement shall be governed by, and construed in accordance with, the laws of the State of New York. Each Party hereto agrees that it shall bring any action or proceeding in respect of any claim arising out of or related to this Agreement in a in the Chosen Courts, and solely in connection with claims arising under this Agreement: (i) irrevocably submits to the exclusive jurisdiction and the authority of the Chosen Courts; (ii) waives any objection to laying venue in any such action or proceeding in the Chosen Courts; and (iii) waives any objection that the Chosen Courts are an inconvenient forum, does not have jurisdiction over any Party hereto, or lacks the constitutional authority to enter final orders in connection with such action or proceeding. EACH PARTY HEREBY WAIVES, TO THE FULLEST EXTENT PERMITTED BY APPLICABLE LAW, ANY RIGHT IT MAY HAVE TO A TRIAL BY JURY IN ANY LEGAL PROCEEDING ARISING OUT OF, OR RELATING TO, THIS AGREEMENT OR THE TRANSACTIONS CONTEMPLATED HEREBY (WHETHER BASED ON CONTRACT, TORT, OR ANY OTHER THEORY). Each Party (i) certifies that no representative, agent, or attorney of any other Party has represented, expressly or otherwise, that such other Party would not, in the event of litigation, seek to enforce the foregoing waiver and (ii) acknowledges that it and the other Parties have been induced to enter into this Agreement by, among other things, the mutual waivers and certifications in this Section 5.9.

5.10 Amendments and Waivers. This Agreement may not be amended, modified or waived in any manner, whether by course of conduct or otherwise, except by an instrument in writing specifically designated as an amendment or waiver, as applicable, hereto, signed on behalf of each of the Parties in interest at the time of the amendment or waiver, as applicable. The failure of any Party to assert any of its rights under this Agreement or otherwise shall not constitute a waiver of those rights.

5.11 Further Assurances. Upon the reasonable request of the Company, the Noteholder will execute and deliver, or cause to be executed and delivered, all further documents and instruments and use its reasonable best efforts to take, or cause to be taken, all actions and to do, or cause to be done, all things necessary, proper or advisable, to perform its obligations under this Agreement.

(Signature Pages Follow)

 

7


The Parties are executing this Agreement as of the date first set forth above.

 

BEYOND MEAT, INC.
By:    
  Name:
  Title:

 

 

(Signature Page to Voting and Support Agreement)


[ • ]

 

 

Name:

Title:

Address:

E-mail address(es):

 

Aggregate Amounts Beneficially Owned or Managed on Account of:
Existing 2027 Notes

 

 

(Signature Page to Voting and Support Agreement)


Schedule A

1. approval, in accordance with Nasdaq Listing Rule 5635(d), of the potential issuance of shares of common stock upon conversion or equitization of up to $215.0 million in aggregate principal amount of the New Second Lien Convertible Notes (including any New Second Lien Convertible Notes issued as PIK interest), or payment of accrued interest or make-whole payments in the form of common stock, which issuances would, in the aggregate, exceed 20% of the shares of common stock issued and outstanding immediately prior to the time of commencement of the Notes Exchange;

2. approval of the Company’s Amended and Restated Beyond Meat, Inc. 2018 Equity Incentive Plan, in the form attached to the preliminary Proxy Statement (the “Restated Plan”), to increase the number of shares of common stock authorized for issuance thereunder, including for purposes of the issuance of certain awards granted to key employees of the Company out of such increase;

3. approval of an amendment to the Company’s Restated Certificate of Incorporation (the “Charter”) to increase the number of authorized shares of the Company’s common stock from 500,000,000 to 3,000,000,000, in order to support, among other things, the additional share issuances of common stock issuable upon conversion of the New Second Lien Convertible Notes and under the Restated Plan;

4. approval of a series of 30 alternate amendments to the Charter to effect (i) a reverse stock split of the Company’s common stock (on a range of proposed ratios of not less than 1-for-10 on the low end and not greater than 1-for-150 on the high end), with the exact ratio to be determined by the Board of Directors at a later date and (ii) a proportionate reduction in the number of authorized shares of common stock (and correspondingly decrease the total number of authorized shares of the Company’s capital stock); and

5. approval of one or more adjournments of the special meeting, if necessary, to solicit additional proxies if there are not sufficient votes to approve the foregoing proposals at the special meeting or any adjournment(s) thereof.

EX-99.1

Exhibit 99.1

Beyond Meat Launches Exchange Offer and Consent Solicitation Intended to Eliminate Over $800 Million of Debt with Existing Noteholder Support

El Segundo, California. (September 29, 2025) — Beyond Meat, Inc. (NASDAQ: BYND) (the “Company”), a leader in plant-based meat, today announced that it has commenced an exchange offer (the “Exchange Offer”) to exchange any and all of its 0% Convertible Senior Notes due 2027 (the “Existing Convertible Notes”) for a pro rata portion of (i) up to $202.5 million in aggregate principal amount of its new 7.00% Convertible Senior Secured Second Lien PIK Toggle Notes due 2030 (the “New Convertible Notes”) and (ii) up to 326,190,370 shares of its common stock.

Beyond Meat President and CEO Ethan Brown commented, “As we continue our business transformation, we have simultaneously worked to strengthen our balance sheet and are today pleased to announce that we are launching an Exchange Offer for our Existing Convertible Notes. The Exchange Offer is intended to significantly reduce leverage and extend maturity, two outcomes that meaningfully support our long-term vision of being the global plant protein company.”

Simultaneously with the Exchange Offer, the Company is soliciting consents (the “Consent Solicitation”) from holders of the Existing Convertible Notes to adopt certain proposed amendments (the “Proposed Amendments”) to the indenture governing the Existing Convertible Notes (the “Existing Convertible Notes Indenture”). The Proposed Amendments would eliminate substantially all of the restrictive covenants in the Existing Convertible Notes Indenture as well as certain events of default and related provisions applicable to the Existing Convertible Notes.

On the date hereof, holders of approximately 47% (the “Supporting Noteholders”) of the Existing Convertible Notes have entered into a transaction support agreement with the Company (the “Transaction Support Agreement”) to support the Exchange Offer and Consent Solicitation, including by tendering all of their Existing Convertible Notes in the Exchange Offer. The Transaction Support Agreement is subject to certain customary conditions, including a condition that the Company will not consummate the Exchange Offer unless the holders of 85% of the aggregate principal amount of Existing Convertible Notes tender their Existing Convertible Notes in the Exchange Offer. In addition, the Company agreed in the Transaction Support Agreement to pay or cause to be paid to the parties to the Transaction Support Agreement, on a pro rata basis, a non-refundable amount equal to $12.5 million principal amount of New Convertible Notes on the initial settlement date of the New Convertible Notes.

The New Convertible Notes will be secured, second lien obligations of the Company. The New Convertible Notes will mature on the fifth anniversary of the initial settlement date of the New Convertible Notes, unless earlier redeemed, converted, equitized or repurchased in accordance with the terms of the New Convertible Notes. The New Convertible Notes will bear interest at a rate of 7.00% per annum from the initial settlement date of such New Convertible Notes, which interest may be paid in cash or, subject to certain limitations, in shares of common stock. At the option of the Company, interest on the New Convertible Notes may be accrued and compounded in whole or in part for any interest period as “payment-in-kind” interest at a rate of 9.50% per annum from the initial settlement date of such New Convertible Notes. Initially, the New Convertible Notes will not be guaranteed; however, the Company will agree to cause its future wholly-owned subsidiaries,


subject to certain customary exceptions, to guarantee the New Convertible Notes, and will also agree to take commercially reasonable efforts, including seeking advice and consultation procedures with the works council, to cause its subsidiary, Beyond Meat EU B.V., a private company with limited liability (besloten vennootschap met beperkte aansprakelijkheid) incorporated under the laws of the Netherlands, to guarantee the New Convertible Notes following the closing of the Exchange Offer.

The conversion rate for the New Convertible Notes will initially be the number of shares of common stock per $1,000 principal amount of New Convertible Notes equal to the lesser of (i) 1,029.2716 and (ii) an amount calculated based on a 10% premium to a reference price determined over an observation period consisting of 20 consecutive trading days following the initial settlement date of the New Convertible Notes, with such rate subject to customary adjustments. The conversion rate will be increased for conversions occurring prior to the date that is three years from the initial settlement date to reflect a “make-whole” premium, payable in the form of shares of common stock, to compensate holders for interest that would have been payable to such date.

Prior to obtaining stockholder approval of certain proposals that will allow the issuance of common stock pursuant to the terms of the New Convertible Notes, the Company will be permitted to satisfy its obligations upon conversion of the New Convertible Notes only in the form of cash settlement. Following such stockholder approval, the Company will be permitted to satisfy its obligations under the New Convertible Notes with any settlement method it is otherwise permitted to elect, including by physical settlement of shares of common stock. A holder of New Convertible Notes will not be permitted to convert its New Convertible Notes at any time prior to the earlier of (a) the date of the first special meeting at which the Company seeks stockholder approval of such proposals, whether or not such approvals are obtained and (b) the date that is 61 calendar days following the initial settlement date of the New Convertible Notes. The New Convertible Notes will be convertible at any time following such date and prior to the close of business on the second trading day immediately preceding the maturity date.

The Exchange Offer and Consent Solicitation will expire at 5:00 p.m., New York City time, on October 28, 2025 (such time and date, as the same may be extended, the “Expiration Deadline”), unless extended or earlier terminated. Rights to withdraw tendered Existing Convertible Notes and revoke consents terminate at 5:00 p.m., New York City time, on October 10, 2025 (such time and date, as the same may be extended, the “Withdrawal Deadline”), unless extended. The Company may, subject to the terms of the Transaction Support Agreement, accept for exchange (the “Early Settlement”) any Existing Convertible Notes validly tendered (and not validly withdrawn) in the Exchange Offer at or prior to 5:00 p.m., New York City time, on October 10, 2025 (such time and date, as the same may be extended, the “Early Tender Date”) if all conditions to the Exchange Offer have been or are concurrently satisfied or waived prior to the Early Tender Date. Whether or not the Early Settlement occurs, if, at or prior to the Expiration Deadline, unless extended, all conditions to the Exchange Offer have been or are concurrently satisfied or waived, the Company will accept for exchange all Existing Convertible Notes validly tendered in the Exchange Offer at or prior to the Expiration Deadline, and not validly withdrawn at or prior to the Withdrawal Deadline (the date of such exchange, the “Final Settlement Date”). The Final Settlement Date will be promptly after the Expiration Deadline and is currently expected to occur on October 30, 2025, the second business day immediately following the Expiration Deadline. The Company’s ability to amend, extend, terminate, or waive the conditions of the Exchange Offer are subject to the terms of the Transaction Support Agreement.


The Exchange Offer and Consent Solicitation may each be amended or extended at any time prior to the Expiration Deadline and for any reason, and may be terminated or withdrawn if any of the conditions of the Exchange Offer and Consent Solicitation are not satisfied or waived by the Expiration Deadline (as it may be extended), subject to applicable law and the terms of the Transaction Support Agreement. Tenders of Existing Convertible Notes tendered in the Exchange Offer may be validly withdrawn at any time at or prior to the Withdrawal Deadline, unless extended by the Company, but will thereafter be irrevocable. Subject to applicable law and the terms of the Transaction Support Agreement, the Company may extend the Expiration Deadline at any time, which may or may not have the effect of extending the Withdrawal Deadline. The Company’s obligation to accept for exchange Existing Convertible Notes validly tendered (and not validly withdrawn) pursuant to the Exchange Offer is subject to the satisfaction or waiver of certain conditions, including without limitation, that a minimum of 85% of the aggregate principal amount of Existing Convertible Notes shall have been validly tendered (and, if applicable, not validly withdrawn) pursuant to the Exchange Offer.

The New Convertible Notes and shares of common stock offered in the Exchange Offer are being offered only to holders of Existing Convertible Notes that are (i) “qualified institutional buyers” as defined in Rule 144A under the Securities Act or (ii) “accredited investors” (within the meaning of Rule 501(a) under the Securities Act) that beneficially own a minimum of $200,000 in aggregate principal amount of Existing Convertible Notes (“Eligible Holders”).

Eligible Holders who validly tender (and do not validly withdraw) their Existing Convertible Notes and deliver their related consents at or prior to the Early Tender Date will be eligible to receive for each $1,000 in aggregate principal amount of Existing Convertible Notes validly tendered for exchange, $176.0870 in aggregate principal amount of New Convertible Notes and 283.6438 shares of common stock. Upon the terms and subject to the conditions of the Exchange Offer and Consent Solicitation, Eligible Holders who validly tender Existing Convertible Notes after the Early Tender Date but at or prior to the Expiration Deadline, and whose Existing Convertible Notes are accepted for exchange by the Company, will receive for each $1,000 in aggregate principal amount of Existing Convertible Notes validly tendered for exchange, $170.8044 in aggregate principal amount of New Convertible Notes and 283.6438 shares of common stock, as described in the table below:

 

Title of Existing Convertible
Notes

   CUSIP
Number(1)
     Principal
Amount
Outstanding
    

Consideration

per $1,000 Principal

Amount of Existing

Convertible

Notes(2)

  

Early Exchange
Premium

per $1,000 Principal

Amount of Existing

Convertible

Notes(3)

  

Total

Consideration

per $1,000 Principal

Amount of Existing

Convertible

Notes(4)

0% Convertible Senior Notes due 2027

     08862EAB5      $ 1,150,000,000     

(1) $170.8044 of New

Convertible Notes and (2) 283.6438 shares of Common Stock

   $5.2826 of New Convertible Notes (the “Early Exchange Premium”)    (1) $176.0870 of New Convertible Notes and (2) 283.6438 shares of Common Stock
 
(1)

No representation is made as to the correctness or accuracy of the CUSIP number listed in this communication or printed on the Existing Convertible Notes. CUSIPs are provided solely for convenience.

(2)

Consideration per $1,000 principal amount of Existing Convertible Notes that are validly tendered (and are not validly withdrawn) and accepted for exchange, subject to any rounding as described herein.

(3)

Additional consideration per $1,000 principal amount of Existing Convertible Notes that are validly tendered (and are not validly withdrawn) and accepted for exchange at or prior to the Early Tender Date, subject to any rounding. For the avoidance of doubt, Eligible Holders who validly tender and do not validly withdraw their Existing Convertible Notes after the Early Tender Date and prior to the Expiration Deadline will not be eligible to receive the Early Exchange Premium.

(4)

For the Eligible Holders who tender prior to the Early Tender Date.


PJT Partners LP is acting as financial advisor to the Company and dealer manager (the “Dealer Manager”) in connection with the Exchange Offer and Consent Solicitation. Mackenzie Partners, Inc. is acting as the exchange agent and the information agent (the “Exchange Agent”) in connection with the Exchange Offer and Consent Solicitation. Questions concerning the Exchange Offer and Consent Solicitation may be directed to the Dealer Manager at 280 Park Avenue, New York, NY 10017, tel: 212-364-7117 or to the Exchange Agent at 7 Penn Plaza, Suite 503, New York, NY 10001, tel: 800-322-2885, e-mail: exchangeoffer@mackenziepartners.com. Eligible Holders should also consult their broker, dealer, commercial bank, trust company or other institution for assistance concerning the Exchange Offer and Consent Solicitation. Latham & Watkins LLP is acting as legal counsel to the Company in connection with the Exchange Offer and Consent Solicitation. Houlihan Lokey Capital, Inc. is acting as financial advisor and Akin Gump Strauss Hauer & Feld LLP is acting as legal counsel to certain holders of Existing Convertible Notes that are party to the Transaction Support Agreement.

Registered brokers and dealers in the United States that successfully process exchanges from a beneficial owner of Existing Convertible Notes that is a non-institutional accredited investor will be eligible to receive a cash retail processing fee (a “Retail Processing Fee”) from the Company equal to $2.50 per $1,000 principal amount of Existing Convertible Notes validly tendered and not validly withdrawn by or on behalf of such non-institutional accredited investor beneficial owner and accepted for exchange by the Company, except for any Existing Convertible Notes tendered by such broker or dealer for its own account. The Retail Processing Fee will only be paid to each eligible broker or dealer in respect of beneficial owners submitting Existing Convertible Notes equaling an aggregate principal amount of at least $200,000 and less than or equal to $1,000,000. Under no circumstances will such fee be remitted, in whole or in part, by an eligible broker or dealer to the relevant beneficial owner of the Existing Convertible Notes exchanged. The Retail Processing Fee will be paid only if the Exchange Offer is consummated and only if the applicable retail processing dealer form is received by the Exchange Agent on or prior to the Early Tender Date (for Existing Convertible Notes tendered on or prior to the Early Tender Date) or the Expiration Deadline (for Existing Convertible Notes tendered after the Early Tender Date and prior to the Expiration Deadline). Inquiries regarding the Retail Processing Fee may be directed to the Exchange Agent.

Only Eligible Holders may receive a copy of the offering memorandum relating to the Exchange Offer and Consent Solicitation and participate in the Exchange Offer and Consent Solicitation. None of the Company, the Dealer Manager, the Exchange Agent, any trustee or collateral agent for the Existing Convertible Notes or New Convertible Notes, or any affiliate of any of them makes any recommendation as to whether any Eligible Holder of Existing Convertible Notes should exchange or refrain from exchanging the principal amount of such Eligible Holder’s Existing Convertible Notes in the Exchange Offer or submit consents in the Consent Solicitation. No one has been authorized by any of them to make such a recommendation. Eligible Holders must make their own decision whether to tender Existing Convertible Notes in the Exchange Offer or submit consents in the Consent Solicitation. No Eligible Holder may tender less than all of its Existing Convertible Notes in the Exchange Offer.


The New Convertible Notes and shares of common stock offered in the Exchange Offer, and shares of common stock issuable upon conversion of the New Convertible Notes have not been, and will not be, registered under the Securities Act of 1933, as amended, or any other securities laws. This press release shall not constitute an offer to sell, or the solicitation of an offer to buy, the New Convertible Notes and shares of common stock offered in the Exchange Offer, the shares of common stock issuable upon conversion of the New Convertible Notes, the Existing Convertible Notes or any other securities, nor will there be any sale of such securities or any other securities, in any state or other jurisdiction in which such offer, sale or solicitation would be unlawful.

About Beyond Meat

Beyond Meat, Inc. (NASDAQ: BYND) is a leading plant-based meat company offering a portfolio of revolutionary plant-based meats made from simple ingredients without GMOs, no added hormones or antibiotics, and 0mg of cholesterol per serving. Founded in 2009, Beyond Meat products are designed to have the same taste and texture as animal-based meat while being better for people and the planet. Beyond Meat’s brand promise, Eat What You Love®, represents a strong belief that there is a better way to feed our future and that the positive choices we all make, no matter how small, can have a great impact on our personal health and the health of our planet. By shifting from animal-based meat to plant-based protein, we can positively impact four growing global issues: human health, climate change, constraints on natural resources and animal welfare.

Beyond Meat Forward Looking Statements

Certain statements in this release constitute “forward-looking statements” within the meaning of the federal securities laws. These statements are based on management’s current opinions, expectations, beliefs, plans, objectives, assumptions or projections regarding future events or future results. Forward-looking statements include statements regarding Beyond Meat’s ability to consummate the Exchange Offer and Consent Solicitation and to complete the transactions contemplated by the Transaction Support Agreement. These forward-looking statements are only predictions, not historical fact, and involve certain risks and uncertainties, as well as assumptions. Actual results, levels of activity, performance, achievements and events could differ materially from those stated, anticipated or implied by such forward-looking statements. While Beyond Meat believes that its assumptions are reasonable, it is very difficult to predict the impact of known factors, and, of course, it is impossible to anticipate all factors that could affect actual results. There are many risks and uncertainties that could cause actual results to differ materially from forward-looking statements made or implied herein including, risks related to Beyond Meat’s ability to consummate the Exchange Offer and Consent Solicitation or to realize the anticipated benefits of the Exchange Offer and Consent Solicitation and the risks discussed under the heading “Risk Factors” in Beyond Meat’s Annual Report on Form 10-K for the fiscal year ended December 31, 2024 filed with the U.S. Securities and Exchange Commission (“SEC”) on March 5, 2025, Beyond Meat’s Quarterly Report on Form 10-Q for the fiscal quarter ended March 29, 2025 filed with the SEC on May 8, 2025 and Beyond Meat’s Quarterly Report on Form 10-Q for the fiscal quarter ended June 28, 2025 filed with the SEC on August 8, 2025, as well as other factors described from time to time in Beyond Meat’s filings with the SEC. Such forward-looking statements are made only as of the date of this release. Beyond Meat undertakes no obligation to publicly update or revise any forward-looking statement because of new information, future events or otherwise, except as otherwise required by law. If Beyond Meat does update one or more forward-looking statements, no inference should be made that Beyond Meat will make additional updates with respect to those or other forward-looking statements.


Contact Information

Media:

Shira Zackai

Shira.zackai@beyondmeat.com

Investors:

Raphael Gross

beyondmeat@icrinc.com